Some important considerations in the engineering assessment of soil liquefaction
ABSTRACT
Three important aspects in the engineering assessment of soil liquefaction, i.e. material characterization of liquefiable soils, in-situ state characterization of soils, and system response of liquefiable deposits are the subject of this paper. These aspects in the assessment are especially important in the evaluation of liquefiable soils other than uniform clean sands, such as silts, silty sands with non-plastic or low-plasticity fines, gravel-sand-silt mixtures, and interbedded deposits composed of liquefiable and non-liquefiable soils. Background of simplified liquefaction assessment procedures is first provided, and then well-documented case histories are used to demonstrate liquefaction response characteristics of actual soil deposits, and challenges encountered in their engineering evaluation. Liquefaction evaluation of gravel-sand-silt mixtures, and system response effects in liquefiable deposits are discussed somewhat in detail.
Introduction
In the two most recent damaging earthquakes in New Zealand, soil liquefaction was a major cause of damage to land and infrastructure. In the 2010-2011 Canterbury earthquakes, widespread liquefaction occurred in residential areas of Christchurch (Cubrinovski et al. 2011) affecting 60,000 residential buildings and properties (van Ballegooy et al. 2014), multi-storey buildings in the central area of the city (Bray et al. 2014), many bridges along the Avon River (Cubrinovski et al. 2014a), and lifeline networks throughout eastern Christchurch (Cubrinovski et al. 2014b). The economic loss due to liquefaction is estimated to be as high as 15 billion NZD or nearly 40% of the total economic loss caused by the earthquakes. In addition to the physical damage, liquefaction caused considerable long-term impacts on communities, as approximately 8,000 residential properties were abandoned in areas deemed uneconomical to recover.
In the more recent 2016 Kaikoura earthquake, liquefaction caused extensive damage in reclaimed land at the port of Wellington (CentrePort), a vital facility for the regional and national economy. Gravelly reclamations and hydraulic fills of sandy soils liquefied during the earthquake shaking causing substantial damage to wharves and buildings at the port (Cubranovski et al. 2017; 2018a). These recent New Zealand earthquakes clearly demonstrated that liquefaction-induced damage far exceeds tolerable levels of impacts for a modern society in spite of the significant advances in engineering assessment of liquefaction over the past 50 years.
In current engineering practice, liquefaction evaluation is commonly performed using simplified liquefaction assessment procedures, with key objectives in the assessment being to assess occurrence and effects of liquefaction, quantify damage to land and structures, and subsequently mitigate intolerable effects. To achieve these goals, reasonably accurate estimates of transient and permanent ground displacements are needed for complex ground and soil-structure systems. The important focus on displacements and damage estimates has been emphasized over the past couple of decades. Furthermore, the performance-based design framework provides means to consider the seismic performance of a given site and structure for various earthquake scenarios, and allows liquefaction effects to be considered not only in terms of physical damage, but also in terms of economic losses and impacts on communities. In spite of this important focus on the performance evaluation through estimation of deformation, displacements and damage, one could argue that it would be difficult to achieve the required level of accuracy and meet the above objectives in the assessment without adequate consideration of essential issues in the engineering evaluation. In this paper three such issues in the assessment are highlighted, namely:
1) Material characterization of liquefiable soils
2) In-situ state characterization of liquefiable soils, and
3) Consideration of cross-layer interactions and system response effects in liquefying deposits.
These issues are especially important in the evaluation of liquefiable soils other than uniform clean sands, such as silts, silty sands with non-plastic or low-plasticity fines, gravel-sand-silt mixtures, and interbedded deposits composed of liquefiable and non-liquefiable soils. In the first part of the paper, a brief overview of relevant background of simplified procedures is given, and then case histories from recent New Zealand earthquakes are used to demonstrate liquefaction response characteristics of actual soil deposits, and challenges encountered in their engineering evaluation. Even though simplified procedures are used as a basis for the discussion, the highlighted issues are equally relevant for advanced methods of liquefaction assessment.

2. Simplified liquefaction evaluation procedures
The semi-empirical liquefaction evaluation procedures largely evolved around three assumptions and simplifications in the assessment:
1) Clean sand is used as a reference material in the assessment
2) Relative density is used as a principal parameter describing in-situ state of the soil, and
3) Each layer is evaluated independently, and in isolation, without consideration of the response and effects of other layers within the profile or the deposit as a whole.
These simplifications are directly related to the identified three aspects in the assessment (i.e. material characterization, in-situ state characterization and system response of liquefiable deposits), and are discussed in the following subsections. Note that other important assumptions and considerations in the simplified procedures are beyond the scope of this paper.
In what follows, CPT-based triggering procedures are used as a basis for the discussion, though the presented arguments are equally valid for alternative SPT- and Vs-based liquefaction triggering methods. Figure 1a shows CPT-based liquefaction triggering correlation proposed by Boulanger & Idriss (2014) expressed in terms of corrected equivalent clean sand cone tip resistance qc1Ncs, for earthquake magnitude Mw = 7.5 and effective overburden stress σv = 100 kPa. The correlation shown with the solid line can be used to estimate the liquefaction resistance CRR = CSRMw=7.5, σ’v = 100, if qc1Ncs for any given layer (depth) is estimated from CPT data.
Figure 1: CPT-based liquefaction triggering correlation of Boulanger and Idriss (2014), for Mw = 7.5 and σv = 100 kPa: (a) expressed in terms of corrected equivalent clean sand cone tip resistance qc1Ncs; (b) expressed in terms of qc1N for FC < 5% (clean sand), FC = 15% and FC = 35%; a correction of penetration resistance Δqc1N for FC = 35% is illustrated with the shift from point M (measured qc1N = 92) to point C (corrected qc1Ncs = 152).
2.1 Clean sand as a reference material
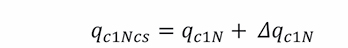
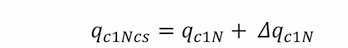
In the triggering correlation of Boulanger & Idriss (2014), qc1Ncs is calculated by correcting the measured penetration resistance for the effects of fines content using the following expression:
(1)
Here, qc1N is normalized penetration resistance obtained directly from measured cone tip resistance (qc), and Δqc1N is correction for the effects of fines content (FC). For clean sand, there is no correction, so qc1Ncs = qc1N. However, for fines-containing sand Δqc1N increases with fines content, and the correction is significant. For example, as illustrated in Figure 1b, for sand with FC = 35% and qc1N = 92, the adjusted qc1Ncs is 1.65 times greater than the ‘measured’ qc1N value. Such corrections for the effects of fines content can exceed a factor of 3 for low qc1N values. In essence, there is a significant adjustment of the liquefaction triggering correlation based solely on the fines content, which has been adopted as a sole measure for material characteristics differentiating from clean sand.
The original correlations established from liquefaction case histories by Boulanger & Idriss (2014) are shown in Figure 1b in terms of normalized cone tip resistance qc1N, for clean sand (FC < 5%), FC = 15% and FC = 35%. An increase in the fines content shifts the correlation upward and to the left from the reference clean sand relationship (FC < 5%). This shift in the correlation could be due to effects of fines on the liquefaction resistance (i.e. CRR = f(FC)), effects of fines on the penetration resistance (i.e. qc1N = f(FC)), or due to combined effects of FC on qc1N and CRR. It will be shown in Section 3.4 of this paper that the shift in the correlation seen in Figure 1b does not reflect the effects of fines on liquefaction resistance, but rather is predominantly due to grain-size effects on penetration resistance of soils.
2.2 Relative density as a principal state parameter
One of the key reasons for the use of clean sand as a reference material in the liquefaction assessment was that the majority of liquefaction case histories in the initial database were on clean sands and sands with small amounts of fines. Hence, the focus on clean sands was driven by the early evidence that sands have high liquefaction potential. One important corollary is that relative density (Dr) has been implicitly adopted as a reference state parameter in liquefaction assessment. Relative density is established as a parameter that works well for sands, as it represents the density state of sand, which in turn strongly influences sand behaviour under monotonic and cyclic shearing. Consequently, there is a strong correlation between liquefaction resistance (CRR) and relative density (Dr) of sand, as illustrated in Figure 2a. Here, conventional empirical relationships between relative density and cone tip resistance for clean sand, given in Equations 2 and 3 (Idriss & Boulanger 2008; Tatsuoka et al. 1990; Zhang et al. 2004), were used to convert qc1Ncs into Dr, and then replot the CRR – qc1Ncs liquefaction triggering correlation of Boulanger and Idriss (2014) in Figure 2a, in terms of CRR – Dr.
(2)
(3)
The Dr – qc1N relationships of Equations 2 and 3 are depicted in Figure 2b together with the relationship proposed by Robertson & Cabal (2012). The pronounced sensitivity of the penetration resistance to changes in relative density shown in Figure 2b has been one of the principal reasons for its use in the liquefaction assessment as a proxy for the in-situ density of the soil. Thus, we rely on the penetration resistance to differentiate between loose and dense soils or low and high liquefaction resistance respectively. However, at present, it is difficult to apply the relative density concept to soils other than clean sands, as standard procedures for evaluation of index void ratios (emax and emin), required in the calculation of Dr, are not available for such soils. Furthermore, there is a convincing evidence that the state concept interpretation of soil behaviour provides a more robust framework for characterization of the in-situ state of soils, as it neatly combines effects of density and confining stress on the stress-strain behaviour of soils.
The above discussion implies that, generally, material and state characterization for fines-containing soils or any liquefiable soil distinctly different from clean sand is not of the same quality and accuracy as that of clean sand.
Figure 2: Relative density as a measure for in-situ state of the soil in liquefaction assessment: (a) Boulanger and Idriss (2014) liquefaction triggering correlation expressed in terms of relative density (Dr) using empirical expressions provided by Idriss & Boulanger (2008) and Tatsuoka et al. (1990); (b) relationships between Dr and qc1N for clean sand used in liquefaction evaluation.
2.3 Evaluation of liquefaction response without consideration of cross-layer interactions
The third important feature in simplified liquefaction evaluation is schematically illustrated in Figure 3 for a six-layer soil profile, in which layers 3 and 5 are liquefiable, whereas layers 1, 2, 4 and 6 are non-liquefiable. In the simplified procedure each layer is considered in isolation, and a factor of safety against liquefaction triggering (FS), and consequent maximum shear (γmax) and volumetric strains (εv) are estimated separately for each layer. Thus, when calculating FS, γmax and εv for any given layer, the response and effects of other layers or interactions between layers within the deposit are ignored. In the subsequent step, liquefaction damage indices, such as LSN (van Ballegooy et al. 2014) and LPI (Iwasaki et al. 1978; Maurer et al. 2014) are calculated using specific weighting functions to quantify the damage potential of liquefying layers depending on their proximity to the ground surface. But still, when calculating the damage indices, a simple superposition of previously calculated independent effects is used, as illustrated in Figure 3b, and cross-interactions between layers through the dynamic response and liquefaction effects are simply ignored.
The key elements of the three simplifications in the assessment can be summarized, as follows:
(1) Clean sand is essentially used as a reference material, and fines content is used as a sole measure for material characteristics differentiating from clean sand; the liquefaction resistance is very sensitive to fines content in empirical CRR – qc1N relationships.
(2) Relative density is implicitly used as the principal measure for the in-situ state of the soil through penetration resistance; relative density is a well-established concept for clean sands, but its application to any soil other than clean sand is not straightforward.
(3) Finally, cross-layer interactions and overall response of the deposit are not considered in the evaluation of the liquefaction response.
In the following sections, we will further explore these issues using well-documented liquefaction case histories from recent New Zealand earthquakes.
Figure 3: Schematic illustration of liquefaction assessment using simplified approach: (a) factors of safety against liquefaction triggering are calculated independently for each layer; (b) cumulative damage index is calculated for the deposit (site) by superposition of individual effects from each layer.
3 Material and state characterization of gravel-sand-silt mixtures
3.1 Liquefaction of reclaimed land
In the 2016 Mw7.8 Kaikoura earthquake, widespread liquefaction occurred in reclamations of Wellington port (CentrePort). The liquefaction was particularly extensive and severe in the gravelly fills of Thorndon reclamation (Cubrinovski et al. 2017; 2018a). This reclamation was constructed between 1965 and 1976 by end-tipping approximately 2,900,000 m3 of gravelly soils sourced from nearby quarries. Soft marine sediments were first removed from the seabed by dredging, and then the quarry material was dumped into the sea from truck and barge operations, thus constructing a 10 m to 20 m thick fill through a water sedimentation process. Static rollers were used to compact the top 2-3 m of the fill as soon as the fill surfaced above high-tide water level. Hence, the fill below 2-3 m depth is uncompacted. The reclamation is laterally unconfined in three directions (east, south and west) with relatively steep original slopes (1.5H:1V). The fill overlies 1-5 m thick marine sediments of interbedded sand, clay and silty clay that sit on top of the Wellington Alluvium formation, which comprises stratified dense gravels and stiff to very stiff silts.
Despite the relatively moderate peak ground accelerations of about 0.20 g at the ground surface (Bradley et al. 2017), extensive liquefaction occurred in the gravelly reclamation during the Kaikoura earthquake. The liquefaction manifestation varied from traces of ejected silts and water, to large volumes of soil ejecta with thicknesses of up to 150-200 mm. Figure 4 shows images of gravelly ejecta observed at the Thorndon Terminal which are illustrative of the worst affected areas. Large volumes of gravelly ejecta were found along cracks and fissures in the pavement, cavities and along drainage lines, which created preferred pathways for groundwater flow and soil ejecta to reach the ground surface. Visually, the ejecta appeared as a well-graded gravelly soil including some cobble-size particles, but also sand and silt.
Figure 4: Liquefaction manifestation at CentrePort observed after the 2016 Kaikoura earthquake.
The liquefaction resulted in large permanent ground displacements and global deformation pattern of the gravelly reclamation, as schematically depicted in Figure 5. It involved an outward
The outward displacement of the fill was accompanied by a slumping mode of deformation involving global (mass) settlement of the reclamation. As shown in Figure 5, the settlement in the central part of the reclamation was on the order of 0.2-0.3 m, whereas it increased near the reclamation edges to 0.4-0.6 m due to spreading-induced movements. The large ground displacements caused substantial damage to paved surfaces and buildings on shallow and deep foundations at the port, and damaged beyond repair two pile-supported wharves, which displaced 0.5-1.5 m laterally towards the sea. Detailed account of the observed damage to land and structures at CentrePort can be found in Cubrinovski et al. (2017).
Figure 5: Global deformation pattern involving settlement (slumping) and lateral spreading of gravelly reclamation.
3.2 Material characteristics of gravel-sand-silt mixtures
There are many interesting aspects of the liquefaction at CentrePort, but we will focus our attention on the identified issues around material and state characterisation in the liquefaction assessment. After the earthquake, gravelly ejecta samples were collected from 15 locations at the port for sieve analyses. Grain size distribution (GSD) curves of the collected samples are shown with solid lines in Figure 6, whereas the shaded area in the background depicts the range of GSD curves of borehole samples, which were collected several years before the earthquake.
The fill is a gravel-sand-silt mixture consisting predominantly of gravels (i.e. approximately 45-75% gravel, 15-40% sand and 10-15% fines). The good agreement between the two sets of GSD curves confirms that the ejecta samples have similar grain-size composition as the original fill, and that the gravel-sand-silt mixture indeed liquefied during the earthquake.
Liquefaction assessment of gravel-sand-silt mixtures using simplified procedures is not straightforward, as such soils effectively are not represented in the empirical database. However, there is one important characteristic in the grain-size composition of the fill that one could make use of. Namely, even though the fill is dominated by gravels, there is a sufficiently large
Figure 6: Grain-size distribution (GSD) curves of samples from gravelly reclamation at CentrePort; solid lines show GSD curves of ejecta samples; shaded area indicates range of GSD curves of borehole samples.
Figure 7a shows one result from such a study where index void ratios (emax and emin) are plotted against the fines content, for a sand-silt mixture. The plot essentially illustrates effects of fines content on the packing of sand-silt mixtures. Conceptually, when the fines content is relatively small (FC < 20%), the microstructure (and hence deformational behaviour) of the mixture is controlled by the sand matrix, as illustrated schematically in Figure 7b for an idealized binary packing of spherical particles. Conversely, at fines content FC > 40%, the microstructure is effectively controlled by the silt matrix, in which case the coarse grains (sand particles) are separated by finer grains (silt particles), as depicted in Figure 7c. As indicated in Figure 7a, there is a transition in the microstructure from sand-controlled matrix to fines-controlled matrix as the fines content increases from approximately 20% to 40%. Analogous to this interpretation for sand-silt mixtures, the 30% or more amount of sands and silts in the gravelly fill at CentrePort are considered sufficient for these finer fractions to control the soil matrix and have a critical influence on the liquefaction resistance and behaviour of the gravelly fill during earthquakes. With this background in mind, comprehensive CPT investigations were performed to characterize the gravelly reclamations at CentrePort (Cubrinovski et al. 2018a; Dhakal et al. 2019).
Figure 7: Influence of fines content on the packing of sand-silt mixtures: (a) variation of index void ratios with fines content for Cambria sand – Nevada silt mixtures; (b) sand-controlled matrix for FC < 20%; (c) fines-controlled matrix for FC > 40% (Cubrinovski & Ishihara 2002; after Lade et al. 1998).
3.3 In-situ state characterization of gravelly fill
About 60 CPTs were performed at CentrePort in the gravelly reclamation. Tests were performed with 10 cm2 and 15 cm2 cones, and field operations involved predrilling to a depth of approximately 3 m through asphalt pavement and dense compacted gravelly crust using a plugged casing with an extractable tip (Cubrinovski et al. 2018a). If early refusal was encountered during a test at depths less than approximately 10 m, the casing was pushed through the high-resistance soils beyond the depth of refusal, and then cone testing was resumed. A characteristic cross section through the gravelly reclamation derived from the CPT data is shown in Figure 8.
Careful examination of qc traces reveals that the gravelly fill predominantly exhibited low cone tip resistance of qc = 6.5-8.0 MPa, which represent the 25th and 75th percentile qc values, respectively. The low penetration resistance implies low density of the fill, which is consistent with the employed construction method, sedimentation of soil particles through water, and their deposition in a relatively loose state, without any external compaction effort.
The CPT data yielded soil behaviour type index values of Ic = 2.1-2.2 for the gravel-sand-silt mixture, which imply soil behaviour consistent with sand-silt mixtures (Robertson & Wride, 1998). Indeed, the CPT data obtained in the gravelly fill are characteristic for a sand-silt mixture, and the influence of gravel is only occasionally apparent as spikes in the qc trace when gravel particles are encountered by the cone tip. This CPT-based interpretation is consistent with the anticipated governing influence of sand-silt fractions in the soil matrix implied previously based on the grain-size composition of the mixture (i.e. the presence of 30% or more sands and silts in the fill), and is also in agreement with the observed performance of the reclamation during the 2016 Kaikoura earthquake, which exhibited liquefaction severity more typical for sand-silt mixtures rather than gravels. Figure 9 shows details of two additional CPT profiles in the gravelly fill to better illustrate some of the CPT characteristics discussed above.
Figure 8: East-west cross-section through the gravelly fill of Thorndon reclamation showing CPT qc traces and summary of representative qc and Ic values (25th and 75th percentile values) for characteristic soil units (Dhakal et al. 2019).
Figure 9: Measured cone tip resistance (qc), soil behaviour type index (Ic), and estimated relative density (Dr) of the gravelly fill: (a, b, c) CPT045; (d, e, f) CPT021.
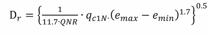
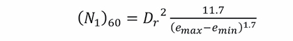
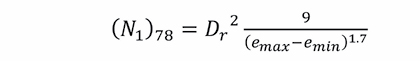
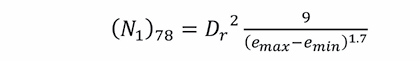
Tokimatsu 1988; Cubrinovski & Ishihara 1999). To estimate the density state of the fill, relative density profiles for the fill were calculated using relationships for clean sand illustrated in Figure 2b, which strictly speaking are not directly applicable for the gravel-sand-silt reclamation. The relative density of the fill was also estimated using an empirical correlation that was developed for a wide range of liquefiable soils including silty sands, clean sands and gravels (Cubrinovski & Ishihara 1999). The latter correlation was derived from a comprehensive study on the effects of grain-size characteristics of sandy soils (including clean sands, sands with fines and gravelly sands) on the packing of soils (Cubrinovski & Ishihara 2002), steady state characteristics of soils (Cubrinovski & Ishihara 2000) and penetration resistance of soils (Cubrinovski & Ishihara 1999). Cubrinovski & Ishihara (1999) proposed penetration resistance – relative density correlation using data from high-quality samples recovered by ground freezing and SPT data with energy ratio of 78%, shown in Figure 10a. The correlation has the following original form:
(4)
which for a conventional 60% energy ratio becomes:
(5)
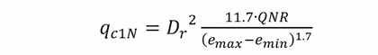
To convert (N1)60 into qc1N, a link between the CPT-based and SPT-based triggering correlations of Boulanger & Idriss (2014) via CRR could be used resulting in the QNR = qc1N/(N1)60 ratios shown in Figure 10b. According to the Boulanger & Idriss (2014) relationships, QNR ≈ 8 for qc1Ncs < 100, and the ratio steadily decreases to a value of about 6 for qc1Ncs = 150. Note however that Robertson et al. (1983) have shown that QNR depends on the mean grain size of soils, and that QNR increases with increasing grain size of soils. Robertson (2012) provided an updated relationship for QNR using Ic, in which QNR ranges from approximately 3 to 7, for fine-grained to coarse (gravels) liquefiable soils, respectively. To allow for different considerations of grain-size effects on QNR, the above correlation between the penetration resistance and relative density of Cubrinovski & Ishihara (1999) can be expressed in terms of cone tip resistance (qc1N), using a generic QNR = qc1N/(N1)60 term, as:
(6)
or if solved for Dr as:
(7)
This relationship uses the void ratio range (emax – emin) as a measure for the material characteristics of soils instead of conventional GSD curve parameters such as FC or D50, as (emax – emin) reflects the effects of overall grain-size composition and particle characteristics (shape) of soils. Relationships (emax – emin) – FC, and (emax – emin) – D50 have been also provided (Cubrinovski & Ishihara 1999; Cubrinovski & Ishihara 2002) to facilitate the use of the relationship in practice via FC and D50, for cases where index void ratios are not available from laboratory testing.
Figure 10: (a) Empirical correlation between SPT blow count and relative density of granular soils (Cubrinovski & Ishihara 1999); (b) QNR = qc1Ncs/(N1)60cs ratios derived from Boulanger & Idriss (2014) CPT and SPT triggering relationships.
Relative density estimates for the gravelly fill are shown in Figure 9c and 9f, based on the previously introduced clean sand relationships, and the relationship from Equation 7 for QNR = 6 and (emax – emin) = 0.30, which are considered representative for the gravelly fill. The latter relationship yields a low relative density of the fill of about Dr = 40%, which appears consistent with the deposition of large volume of soils through water sedimentation, and lack of compaction effort in the construction of the reclamation. It is apparent that clean sand relationships gen











(4)
(5)
(6)
(7)