Observations on Expansive and Shrinkable Soils – Discussion
Introduction
I am writing this in response to the paper by Nick Rogers and colleagues in the June, 2020, issue of NZ Geomechanics News. I should say at the start that I agree totally with their conclusion regarding the shrink/swell test. The swell shrink behaviour of soils is not something I claim to be an expert on but I have read numerous papers on the subject, and have had some experience of the problems associated with such soils. The criticism I would make of many published papers is that their authors seem not to understand the basic physics or mechanics that give rise to shrink and swell problems. In particular too much focus is given to the properties of the soil without giving adequate attention to the environment in which it exists. The focus of this article is therefore on basic principles. My apologies if what I am saying is already well known.
What are Swelling and Shrinking soils?
This is not really the appropriate question to ask. The more appropriate question is: what are the conditions that give rise to swelling or shrinking problems? Focussing solely on the properties of the soil does not provide an answer to this question. For example, on the West Coast of the South Island, there could be soils that laboratory tests classify as shrink-swell soils but it is very unlikely that they would cause either swelling or shrinkage problems (because of the wet climate of that region). It is evident therefore that of equal importance with the nature of the soil is the state in which it exists in the ground, which in turn is governed by the local climate. For another example, the climate in New Zealand is generally wet and our temperatures only moderate, while those in large parts of Australia are the opposite. Thus, in Auckland damage to houses is almost always caused by shrinkage while that in Adelaide by swelling. The soils involved may have identical properties
What sort of soil has the potential to create shrinkage or swell problems?
This question is relatively simple to answer. Any clay of high plasticity has this potential, and Atterberg limit tests plus the Casagrande plasticity chart provide reliable identification of such soils. Figure 1 illustrates this. Soils with liquid limit above 50 that plot significantly above the A-line will almost certainly be of high plasticity and have less than favourable soil properties. In particular they will have the potential to cause swell or shrink problems . Regarding the plasticity chart, the following points should be noted.
- The horizontal scale is of Liquid Limit so that CH means clay of high liquid limit and not high plasticity. Casagrande made this clear when he created the chart and it still has the same meaning today despite the frequent but mistaken assumption that the H indicates high plasticity.
- It is not sensible to try to relate soil properties to either plastic limit or liquid limit. It is the position of the soil in relation to the A-line that is the most reliable indicator of soil properties (see Wesley, 2003)
- One “weakness” of this approach is that the Plasticity Chart is only useful if the Atterberg Limit values are reliable. This may be stating the obvious, but it is often assumed that the tests are so elementary that no special attention is needed to ensure their accuracy. In my experience this is not always the case. As readers may know I have published various papers containing Atterberg Limits. I did most of the tests myself, the remainder by technicians that I trained or supervised.
Figure 1 The plasticity chart as an indicator of soil properties
With regard to Figure 1, my text book (Wesley, 2010) contains the following statement:
The Atterberg Limit values by themselves are not particularly reliable as indicators of soil behaviour, but become very useful when plotted on the Plasticity Chart. Soils that plot well above the A-line generally have poor engineering properties. They are likely to be of high compressibility and low shear strength, and display shrink/swell behaviour. On the other hand soils that plot below the A-line tend to have the opposite characteristics and be good engineering materials.
Along with this general trend will be another trend dependent on the Liquid Limit. For a given position in relation to the A-line, the higher the Liquid Limit the less desirable will be the engineering characteristics.
Figure 2 shows some data I have collected over the years, mostly from Indonesia; it reinforces the point made with Figure 1.
Figure 2 Plasticity Chart showing natural soils expected to have the potential to cause shrink or swelling problems
A Note on the Swelling Pressure and its relation to negative pore pressure
Various methods are available to measure the swelling pressure, which is of some use although it is the magnitude of the swell or shrinkage that is of primary interest. The swelling pressure is normally taken to be the pressure that must be applied to the soil to prevent it from swelling when water becomes available to it. An undisturbed sample can be prepared in the same way as an oedometer test sample, and then the pressure measured to prevent the soil swelling when water is made available to it. Figure 3 illustrates the stress state when the sample is set up in the apparatus, and the same state after freely absorbing water.
Figure 3 Stress state in a soil sample when first set up in an apparatus and after it is allowed to soak up water.
Application of the simple equation relating effective stress to total stress and pore pressure shows that for a fully saturated soil the swelling pressure is the same as the negative pore pressure. For a partially saturated soil it is less than the negative pore pressure by the Bishop factor χ, the value of which is approximately given by the degree of saturation. The negative pore pressure is frequently called “suction” although the more logical technical term is “pore water tension”.
The Basic Mechanism of Soil Swelling or Shrinkage.
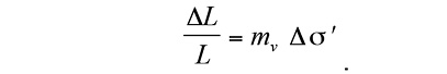
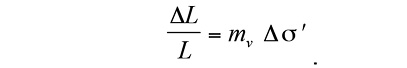
Swelling and shrinkage phenomena involve volume change and are thus governed by the same laws as any other volume change, namely a change in effective stress. The simplest law is
.
If we determine the value of the soil compressibility coefficient mv and the change in effective stress Δσ′ then we can calculate the strain in any particular layer. Expansive and shrinkage usually (but not always) occurs under constant total stress. This total stress is the weight of the soil, or of the soil plus a foundation load. This means that Δσ′ = – Δu, the change in the pore pressure. Thus to understand expansive or shrinkage behaviour we need to understand the way in which pore pressures change with seasons or weather.
The Influence of Climate and Pore Pressure Changes in the Ground .
For simplicity we will consider the situation of a flat site with a fully saturated clay and an average water table depth some distance below the surface. If the situation is static then the only possible pore pressure state is the hydrostatic one. The pore pressure below the water table increases linearly with depth, and that above decreases linearly as shown in Figure 4. This hydrostatic state will exist if the following two conditions exist:
- the ground surface is sealed, such as by a wide foundation or a sealed pavement (most likely concrete or bitumen)
- the average depth of the water table is constant.
We need to recognise that clays can remain fully saturated for many metres or tens of metres above the water table, due to the combined effects of capillary forces and the very high air entry value of fine grained soils. Figure 4 also illustrates the possible changes in the pore pressure state due to seasonal changes. During a dry season, water will be drawn upwards towards the surface due to evaporation, and the probable pore pressure state resulting from this is indicated in Figure 4. During a wet season water will seep into the ground resulting the state also indicated in the figure.
Figure 4 Pore pressure changes in a clay layer of moderate permeability
In drawing Figure 4 the soil is assumed to be of moderate permeability, in which case seasonal influence penetrates deep enough to cause changes in the water table. It rises during the wet season and goes down in summer. In very low permeability clays the seasonal influence may not penetrate deep enough to cause changes in the water table. This is generally the case for London clay and other heavily over-consolidated sedimentary clays.
When the ground surface is covered by a building foundation or a pavement, water can neither enter nor leave the surface and the pore pressure will move towards the hydrostatic position shown in Figure 4. This tells us directly the change in the pore pressure and thus the change in effective stress from which compression can be calculated. The following points should be noted:
- The volume changes that will occur when a foundation is built, or a pavement laid, are very dependent on seasonal or climate effects. If construction is toward the end or a long dry summer then the pore pressure will steadily rise toward the hydrostatic state and the effective stress will decrease, causing the soil to swell. If construction is towards the end of a wet season, the reverse will occur.
- The only pore pressure information that can be known with reasonable certainty is the depth of the water table and the associated hydrostatic equilibrium condition. The wet weather condition can be estimated as it clearly has an upper limit, but the dry weather state can only be guessed at unless local measurements have been made.
- To determine the value of the compression parameter mv a sample can be set up in an oedometer and then subjected to several loading and unloading cycles simulating the expected in situ stress cycles on the soil caused by seasonal changes.
- It is probable that the soil close to the surface will become partially saturated during long dry seasons. This will complicate the stress state in the soil near the surface, although the general principles will remain the same
Some General Observations and Conclusions
An adequate definition of an expansive clay would be on the following lines:
A clay that contains a significant content of active clay minerals that is normally held in a compressed state by high pore water tension.
Such a clay is likely to swell when water becomes available to it
A similar definition of a clay likely to cause shrinkage would be:
A clay that contains a significant content of active clay minerals that is not normally compressed by high pore water tension.
Such a clay is likely to shrink during hot dry weather
The issue of foundation damage to buildings, especially normal residential houses, received some attention during the time I worked for Tonkin and Taylor (1976-86), and I recall doing a review of the cases in T&T files involving house damage. Almost invariably, damage was the result of soil shrinkage during long dry summers and the soil was weathered Waitemata clay. Damage was most frequently observed in brick veneer cladding or concrete block walls of basements, especially on ground sloping to the north. The shrinkage could be reversed to some extent by telling owners to water the ground adjacent to the affected areas. Houses on volcanic soils appeared exempt from such damage. Moves were made to examine the situation in Australian and possibly adopt their approach in New Zealand. This did not seem sensible to me because of the great difference in our climates.
The only time I have encountered an expansive clay problem in Auckland was when a concrete floor was laid on the surface of clay fill that had been placed and compacted in a very dry state. The clay slowly soaked up water and swelled. The walls of the house were on strip foundations taken down to natural ground so there was differential movement between the floor slab and the walls.
Regarding London Clay, the case of swelling following the removal of elm trees mentioned by Rogers et al, is I think, a rather unusual exception to the shrinkage that normally causes foundation damage in London. The event that brought soil shrinkage to everyone’s attention in London was the so called “great drought” of 1976 which caused shrinkage damage to thousands of buildings, especially houses.
Regarding the Rogers et al paper I would make the following comments:
- The conclusion that the results of shrink swell
tests are strongly dependent on the initial water content is correct and to be expected if we
consider Figure 4. There is a close connection between the pore pressure state and the
water content. - The terminology is a bit “loose”. As indicated above, the climate in most parts of New Zealand is sufficiently wet that problems from soil swelling are rare. Our conditions are quite different from Australia’s and our soils should not be referred to as expansive.
- The Rogers paper is very valuable as it clearly shows the unreliability of the shrink swell test, and makes useful suggestion for a better approach.
My own view is that trying to devise a single test applicable it to all parts of New Zealand is probably not a good idea. A better approach would be to conduct a survey of the major cities of New Zealand to establish the prevalence of foundation damage caused by soil shrinkage or swelling. It may be that some cities are free of such damage, even though they may contain highly plastic clays with the potential to cause shrink swell problems. A more detailed survey might be able to relate damage severity to both the position of the Atterberg Limits on the Plasticity Chart, and the local climate.
Just for interest, I built a room onto my house in Birkenhead shortly after joining T&T in September, 1976. My lawn at the time had many cracks in it because of a dry summer. To minimise movement from seasonal changes I put the concrete foundation strip on bored piles taken to a depth of 1.2 m if I remember correctly. This was just a simple hand auger job, and was very successful in stopping movement of the new room. However, it was not particularly clever as the rest of the house still moves with the seasons. Its influence is quite minor – some doors or windows jam a little more at some times of the year than others.
References
N. Rogers, N.McDougal, G.Twose, J.Teal, T.Smith. (2020). The Shrink Swell Test: a Critical Analysis. NZ Geomechanics News June, 2020.
Wesley, L.D. (2003) Residual strength of clays and correlations using Atterberg limits. Geotechnique, Vol 53, No7 pp381-385.
Wesley, L.D. (2010) Fundamentals of Soil Mechanics for Sedimentary and Residual Soils. John Wiley and Sons New York
Authors’ response
We appreciate the comments by Dr Wesley, who makes some very good suggestions on what our focus should be going forward as a technical group. Wesley is correct in suggesting that terms should reflect the problem: “expansive” is not a particularly helpful term for describing the behaviour of soils in New Zealand where most of the damage is caused by clay shrinkage. However, that is the term used in NZS 3604. Hopefully MBIE will consider changing the term. Volume Change Potential, as used in the UK, seems a much more appropriate term.
Dr Wesley also reinforces a really important finding (reported in our original paper) by Wesseldine (1980) around plasticity. Wesseldine tested soils from beneath 25 houses that became damaged due to soil shrinkage. Although we did not produce the figure in our paper, we did present it to the NZGS earlier in the year (Rogers and McDougall, 2020), and it is reproduced in the figure below. This figure strongly supports the findings of Wesley that soils exhibiting high plasticity, with LL greater than 50 and plotting above the A-line, have a high volume change potential. Of the 25 test results reported by Wesseldine, 22 (or 88%) fell into this category (shown in red).
References
Wesseldine, M (1980). House Foundation Damage Caused By Shrinkable Clays. Presented to the Auckland Branch, NZIE, 13 November 1980
Rogers, N. W. and McDougall, N. J. (2020) Shrink/Swell Testing of Expansive (Reactive) Soils: A Critical Analysis. Online Presentation for the New Zealand Geotechnical Society, 24 April 2020. Accessed 22 June 2020 from https://www.nzgs.org/library/shrink-swell-testing-of-expansive-reactive-soils-a-critical-analysis/





