Abstract
Cantilever timber pole walls are one of the most commonly used forms of retaining wall construction used in New Zealand for low to moderate retained heights. Pole walls in New Zealand have mainly been designed using the isolated pile theory (Broms) or by continuous embedded wall theory.
These commonly used design analysis methods have limitations and do not accurately represent the pole-soil interaction and displacement behaviour. In particular, the Broms method for estimating the pole lateral force capacity in cohesionless soils assumes rotation of the pole about the toe instead of the correct depth at a significant height above the toe. This simplification gives an unconservative lateral load capacity. Simplifying the analysis by assuming that the poles behave as a continuous wall is unnecessary and may introduce errors that are difficult to quantify. Although soil strength parameters are unlikely to be accurately known for design of small wall structures it is nevertheless desirable to eliminate analysis errors as far as possible and deal with the soil uncertainty by adopting moderately conservative soil strength parameters.
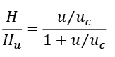
The pole foundation soil-interaction design should be based on pile theory that has been verified by testing. Pile design methods suitable for cantilever wall design have been presented by Guo (2008) for cohesionless soils, Motta (2013) for cohesive soils and by Zhang (2018), for the mixed friction and cohesion case. The Guo and Motta methods are based on elastic-plastic soil response and give force versus displacement equations for loading from zero up to the ultimate hyperbolic loads. These allow serviceability displacements and the pile top lateral force capacity based on soil yield at the toe to be determined.
Although the empirical equations of Guo, Motta, and Zhang are more complex than the simple Broms equation for cohesionless soils and the Pender (1997) equations based on Broms theory for cohesive soils they are not difficult to set up on a spreadsheet. Design charts are presented in this paper that enable the equations to be evaluated at sufficient accuracy for most design applications in both types of soils and for the mixed friction and cohesion case.
Limiting force profiles in cohesionless soils are a function of the effective vertical stress which is difficult to evaluate in the vicinity of the wall face. Plots of the variation with distance from the face are presented accompanied by recommendations on a correction factor simplification that is satisfactory for design applications.
The strength enhancement of the concrete encasement used on timber poles embedded in the ground should be considered in design. Information is presented in the paper that allows the encasement strengthening effect to be predicted with sufficient accuracy for wall design.
1. Introduction
Cantilever timber pole walls are one of the most common forms of retaining wall construction used in New Zealand for low to moderate height applications (1.0 m to 3.5 m). Timber facing materials are used in conjunction with the poles to form an economical wall constructed from sustainable locally processed materials (see Figure 1). Construction is straightforward with the poles usually installed in drilled holes backfilled with concrete. Drilled holes have diameters ranging from 400 mm to 600 mm and these can be drilled with light machinery, or portable power augers. The construction width of less than 1.0 m is less than conventional concrete cantilever or gravity wall construction. This is advantageous on sites with existing development.
Figure 1. Typical timber pole wall construction
For more heavily loaded or higher walls steel section poles can be used and these may be driven rather than installed in bored holes. Tied-back timber poles are sometimes used for walls higher than 3.0 m.
The embedment pole depth is usually of the same order of the wall height above the ground level in front of the wall so the ratio of the embedment length, L divided by the diameter, B is approximately 5. With this aspect ratio the pole behaves as a rigid element deforming by rotating about a point that is usually between 0.6L to 0.8L below the ground surface. Failure in the soil surrounding the encased pile is the preferred failure mechanism. The pole section at ground level is a critical location; failure in this section may lead to limited deformation prior to failure and should be avoided at specified design loads.
Timber design in New Zealand is carried out in accordance with NZS3603:1993, Timber Structures Standard but there is no design standard covering the geotechnical aspects of the design required for the embedded section of a pole wall. MBIE-NZGS, 2017 provides some guidance by way of a design example for a cantilever timber pole wall.
Pole walls in New Zealand have mainly been designed using the isolated pile theory presented by Broms, 1964a, 1964b (Pender, 1997) or by continuous embedded wall theory (McPherson and Bird, 2020; MBIE-NZGS, 2017). These two methods are summarised below.
1.1 Broms Method
The best-known approach to estimating the ultimate lateral load capacity of a pile is that of Broms. He considers separately piles in cohesive soils and those in cohesionless soils. In each case Broms gives a simple method of estimating the maximum lateral pressure that the soil can mobilise and from these evaluates the capacity of the pile for lateral load applied at the top of the pile. The approach is intended to account for the three-dimensional interaction between the pile and the surrounding soil. For a short rigid pile, it is assumed that the maximum moment does not reach the ultimate capacity of the pile section and that failure occurs in the surrounding soil.
For piles in overconsolidated cohesive soil with undrained shear strength, su – constant over the depth, Broms assumed that the soil provides no resistance between the ground surface and a depth of 1.5 pile diameters, and that the ultimate lateral soil pressure against the pile at greater depths was 9su. Davis and Budhu, 1986 suggested that a uniform depth of 600 mm may be a more appropriate depth for the depth of zero resistance rather than 1.5 diameters.
For piles in cohesionless soils Broms proposed a maximum lateral pressure of 3Kp times the vertical effective stress in the soil adjacent to the pile (Kp is the Rankine passive pressure coefficient). For cohesionless soils the soil resistance extends to the ground surface in contrast to the cohesive soil case. Broms derived a simple expression for the lateral load capacity of a short rigid pile in cohesionless soils by assuming that the pile rotated about its toe.
Pender, 1997 extended the Broms analyses to cover piles in soft clay where the undrained shear strength increases linearly with depth from zero at the ground surface. However, this case is not applicable to the short piles considered in the present application as short piles would be unsatisfactory in this type of soil.
Broms provided design charts for the pile lateral load capacity in a cohesive soil; however, Pender, 1997 presented a complete set of equations which are more convenient for spread sheet calculation.
1.2 Continuous Wall Method
Pole spacing for cantilever walls usually ranges from 1.5 to 4 times the embedded diameter of the pole including the concrete encasement. For poles spaced at four times the embedment diameter or less, the below-ground soil pressure bulbs are assumed to provide continuous pressure along the wall and calculations are carried out using conventional continuous embedded wall theory (as used for sheet pile walls). One analysis approach adopted by Pender, 2000 is to assume a rotation point at some depth and use iteration to vary this depth to satisfy both horizontal force and moment equilibrium equations. For cohesionless soils he assumed that both the active and passive pressures were calculated using the Rankine active and passive pressure coefficients. For short-term loading of saturated clays, he assumed a passive pressure resistance based on 2su.
In the example given in MBIE-NZGS, 2017 active and passive pressure coefficients for long-term loading (drained soil for static loads) of a clay soil were estimated using NAVFAC – DM7, 2011 charts (assuming zero cohesion). These charts were derived assuming logarithmic spiral failure surfaces and for passive pressures give coefficients significantly greater than given by the Rankine assumption. For short-term loading (earthquake load case) of the clay soil the passive pressure resistance was based on 2su. The MBIE-NZGS analysis was simplified by assuming rotation about the toe of the wall.
1.3 Limitations of Currently Used Methods
Shortcomings of the present methods commonly used for estimating the lateral capacity of pole foundations used in cantilever pole wall design are summarised below.
Failure Mechanism
The failure mechanism for piles spaced at 1.5B or greater involves flow of the soil on the soil-pile interface. In contrast there is no flow mechanism for a continuous embedded wall section and the failure develops on passive pressure slip lines. Assuming continuous wall behaviour for piles at moderate spacing misses some of the intricacies of the true behaviour and this may lead to unnecessary error in the design analysis.
Passive Pressure Estimation
There is limited published load test information for continuous walls and there is uncertainty on how to estimate passive pressure coefficients above and below the rotation point. In contrast empirical formulae for the limiting pressures on isolated piles have been developed from a wide range of pile tests. One advantage of the continuous wall assumption is that the wall can be modelled using two-dimensional numerical analysis which partially overcomes the uncertainty in estimating passive pressures. However, the complexity of numerical analysis makes it unsuitable for pole wall design.
Rotation Point
In the Broms method for cohesionless soil and in some applications of the continuous wall theory it is assumed that the rotation point is at the toe of the pole. This assumption can lead to significant error and in the case of the Broms analysis an unconservative prediction of the load capacity. With the availability of automatic iteration capability in spread sheets, it is straightforward to simultaneously solve the equations of horizontal force and moment equilibrium to give the correct depth of the point of rotation. There is no need to make the simplifying assumption of rotation about the toe.
Definition of Ultimate Capacity
The load versus displacement curve for lateral loading of a pile has a hyperbolic shape resulting in large deflections at the ultimate load. Broms and the continuous wall theory assume that the limiting passive pressures on the pile or wall develop over the total pile length. This assumption implies that the capacity is the hyperbolic or maximum capacity. A better approach is to base the ultimate capacity on the load required to produce yield in the soil at the toe of the pile or wall.
Displacements
The present methods do not give a load versus displacement curve although sometimes displacement estimates are based on elastic soil assumptions (Winkler or elastic continuum). To satisfy both serviceability and ultimate limit state (ULS) requirements it is important to have a reliable method of computing a load versus deflection curve for the load increasing from zero to the ULS.
Load Testing
Broms verified his load capacity methods using a number of test results. Over the past 50 years since the publication of the Broms methods there have been a large number of published results for lateral loading of rigid piles. Alternative methods using limiting pressure predictions based on this more recent test information are now available.
Pile Spacing
Pile spacing effects have been studied in a number of recent test and analytical investigations resulting in the publication of empirical equations for estimating the lateral load capacity reduction resulting from interaction of the pressure bulbs between adjacent piles. With the availability of these equations there is no need to assume continuous wall behaviour.
Gravity Stresses
The Broms and simplifications of the continuous wall methods assume that the gravity or effective vertical stress that determines the limiting force profile on the pole are based on the ground surface in front of the wall. The soil depth step at the wall face increases the gravity stresses in both the front and back of the wall face. On the back face the vertical stress is sometimes assumed to be based on the ground level behind the wall but this assumption overestimates the vertical stress near the pole.
2. Ultimate Lateral Force Capacity of Rigid Piles in Cohesionless Soil
In the present application the pile is assumed to be rigid and fail by rotation about a point on the pile below the mid embedment depth. Failure is expected to occur in the soil rather than in the pile. A number of definitions of a rigid pile have been proposed. These include:
- Kasch et al, 1977 proposed that length to diameter ratio , L/B be used to classify the rigidity of a pile with a rigid pile having L/B < 6.
- Guo and Lee, 2001 defined a pile as rigid when the pile-soil relative stiffness, EP /Gs exceeds a critical ratio (EP/Gs)c = 0.052(L/r0)4, where EP is the effective Young’s modulus of the pile, defined as EP = (EI)P /(πr0 4/4); (EI)P is the pile bending rigidity; Gs is the shear modulus of the soil; L is the pile embedded length, and r0 is the outer radius of the pile.
- Poulos and Davis, 1980 considered that a pile was rigid if the stiffness ratio (EI)p /(Es L4) was greater than 10-2 where Es is the Young’s modulus for the soil.
- Carter and Kulhawy, 1992 suggest that a pile is rigid when L/B ≤ 0.07 (EP/Es)0.5
Poles used in low to moderate height timber wall construction (height less than 3.5 m) are usually encased in concrete below ground with an overall encasement diameter of 0.4 to 0.6 m. L/B ratios are usually < 6. The (EI)p/(Es L4) ratio is typically > 3 x 10-2 (assuming composite action between the timber and the concrete encasement). Concrete encased poles generally satisfy all of the above four criteria.
Extensive theoretical studies, in-situ full-scale tests and laboratory model tests have been carried out on laterally loaded rigid piles in cohesionless soils (Brinch Hansen, 1961; Broms, 1964; Petrasovits and Awad, 1972; Meyerhof et al., 1981; Poulos and Davis, 1980; Scott, 1981; Fleming et al., 2009; Prasad and Chari, 1999; Dickin and Nazir, 1999; Laman et al., 1999; Guo, 2008; Zhang et al., 2005; Zhang 2009; Chen et al., 2011). The following analysis methods have been proposed (Moussa and Christou, 2018).
LFP Method
An ULS method based on an assumed profile of limiting soil resistance per unit length along the pile or a limiting force profile (LFP). The analysis is reduced to a simplified two-dimensional analysis. Many of these LFP methods (Brinch Hansen, 1961; Broms, 1964; Petrasovits and Awad, 1972; Meyerhof et al., 1981; Prasad and Chari, 1999) do not consider the soil deformation and therefore do not provide the displacements associated with the ULS. To resolve this issue, Guo, 2008 established elastic-plastic solutions for analysing laterally loaded rigid piles, assuming a modulus of subgrade reaction that was either constant or linearly increasing with depth together with a LFP that linearly increased with depth. His solutions enable the nonlinear response of piles and displacement-based capacity to be estimated and gave satisfactory agreement with model pile test results presented by Prasad and Chari, 1999 and the experimental and numerical analysis results presented by Laman et al, 1999.
Winkler Spring
A Winkler spring model (Scott, 1981; Pender, 1993) can be used to estimate the displacement and load capacity of a rigid pile. The soil surrounding the pile is modelled as a bed of independent springs. Displacement of individual springs has no effect on the other springs and this greatly simplifies the mathematical analysis. This model neglects the soil continuity or shear coupling between the springs and is difficult to apply when there is significant soil nonlinearity. It is a simple method that may give acceptable results for the serviceability limit state (SLS).
P-Y Curve
A refinement of the Winkler spring method is the p-y curve analysis which was originally developed by McClelland and Focht, 1956. The reaction of the soil is related to the lateral movement of the pile by means of a nonlinear load transfer function. Methods to estimate the p-y curves have been developed by many authors (Reece, 1977; Scott, 1981; Murchison and O’Neill, 1984; Lam and Martin, 1986). Empirical expressions have been derived from test results to give the initial stiffness and the ultimate force as a function of depth and from these values a hyperbolic force versus displacement or p-y curve can be developed for node points on the pile. The method does not lead to closed-form solutions; however, software programs are available to generate the p-y curves and to perform a nonlinear analysis (Rollins et al, 2003). The complexity of numerical procedures are not justified in many circumstances related to the present application for cantilever pole walls.
Strain Wedge
The strain wedge method overcomes some the limitations of the p-y curve method by taking into account the three-dimensional nature of the soil-pile interaction near the top of the pile (Norris, 1986; Ashour et al, 1998). While traditional nonlinear p-y characterization provides reasonable assessment for a wide range of loaded piles, it has been found that the p-y curve (or the Winkler modulus of subgrade reaction) depends on pile properties (width, shape, bending stiffness, and pile-head conditions) as well as soil properties. The strain wedge model allows the assessment of the nonlinear p-y curve response of a laterally loaded pile based on the relationship between the three-dimensional response of a flexible pile in the soil to its one-dimensional beam on elastic foundation parameters. The model employs stress-strain-strength behaviour of the soil as established from triaxial testing. The determination of strain wedge depth and the value of the subgrade reaction modulus below the strain wedge add considerable complexity. The method is more applicable to long piles than short rigid piles.
Elastic Continuum
Continuum methods (Poulos and Davis, 1980; Pender 1983; Carter and Kulhawy, 1992) can be used to model the continuity of the soil, its nonlinearity, and the boundary conditions in a similar manner to the discrete Winkler spring or p-y spring models. The method envisages the soil to be a continuous elastic medium in which stresses and displacements spread outward and diminish with distance from the point of application. It gives closed form expressions for load capacities and deflections of axially and laterally loaded piles. However, only a few solutions are available for rigid piles and these do not adequately represent the ULS of a pile in a nonlinear cohesionless soil.
Finite Element
Finite element methods (FEMs) can provide rigorous results including the consideration of material nonlinearity and heterogeneity (Trochanis et al, 1991; Yang and Jeremi, 2002, 2005). Results need to be validated against simplified analysis methods before using in design. Development of an accurate FEM model is time consuming and requires detailed soil parameters that are usually not available for the design of low or moderate height cantilever pole walls.
When a pile is laterally loaded calculation of the soil yield stress against the pile requires the assumption of a plastic mechanism in the soil surrounding the pile. Near the surface the mechanism is three-dimensional since both vertical and horizontal movements of the soil occur. At depths greater than several pile diameters from the surface the mechanism is essentially two-dimensional with most of the displacement in the horizontal plane. The solution of this plasticity problem is complex and no exact analytical solutions are available although Reese et al, 1974 have presented an approximate solution.
Rigorous estimation of the lateral load resistance of rigid piles in cohesionless soil requires advanced modelling techniques such as the FEM method and consideration of the three-dimensional nature of the problem. However, the scope of most pole retaining wall projects, the available geotechnical information, or the budget, often do not justify an advanced approach. A simplified, yet accurate design analysis procedure is required when advanced calculations are not justified. Of the analysis methods summarised above, the LFP method is considered to be the most suitable for the present application. Simplifications in the method give closed form analytical solutions that can be expeditiously applied in design.
Various versions of the LFP method have been proposed and number of these were compared to find the most suitable for the present application. A summary of the methods considered is given below. Evaluation of their suitability was undertaken by comparing for each method calculated lateral load capacities with test results and calculated pole embedment depths for a typical pole wall.
2.1 Brinch Hansen, 1961
Brinch Hansen considered the soil failure behaviour at shallow, moderate and large depths. At shallow depths, the failure was based on the difference between the passive and active pressures developed on a rough wall translated horizontally. At moderate depths, the resistance was estimated by considering the equilibrium of a Rankine passive wedge having the same width as the shaft diameter. The sides of the wedge were acted on by at-rest soil pressures. At large depths, the failure stress was calculated assuming failure to take place on a horizontal plane and was based on the solution for a deep strip foundation. The following equation was developed for the soil failure pressure, pu acting on the pile at an arbitrary depth:
(1)
Where σvo is the vertical overburden stress, Kq the earth pressure coefficient for overburden pressure, c the soil cohesion and Kc the earth pressure coefficient for cohesion.
The failure pressure was assumed to act uniformly across the pile diameter and the failure force per unit length assumed to be the failure pressure multiplied by the diameter. The depth of the rotation point was obtained by adjusting this depth by trial and error to simultaneously satisfy force and moment equilibrium equations. A convenient analysis procedure used by Brinch Hansen was to take moments about the load application point assumed to be at an eccentricity of e above the ground. The failure pressure was assumed to change sign at the rotation point (see Figure 2).
Figure 2. Comparison of LFPs for Brinch Hansen, Broms and Meyerhof et al methods.
2.2 Broms, 1964 (Simple Method)
Broms assumed that the lateral earth pressure which develops at failure was equal to 3Kp. The accuracy of this assumption was established by comparisons with test data and Broms indicated that these comparisons showed that the assumption yielded results on the safe side. For short rigid piles it was assumed that the failure pressure extended from the ground surface to the point of rotation. At a depth z below the ground surface the assumed LFP (or limiting soil reaction per unit length) was given by:
(2)
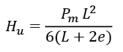
Where B is the pile diameter, γ ‘ the effective unit weight of the soil and Kp the Rankine passive earth pressure coefficient. Broms assumed that the high negative earth pressures develop close to the toe of the pile and that this pressure could be replaced by a concentrated load. The ultimate lateral resistance was determined by satisfying moment equilibrium assuming rotation about the toe. This gave the lateral capacity for a force applied at the top of the pile, Hu as:
(3)
Where L is the pile length below ground level and e the height of the applied lateral load above ground (or eccentricity).
Although the Broms analysis procedure provides a simple closed form equation for the lateral load capacity, comparisons with other methods indicate that it overestimates the capacity of short rigid piles in cohesionless soils. A shortcoming is the assumption that the rotation point is at the toe of the pile. Other methods indicate that the rotation point is at a depth of between 0.6L to 0.8L below ground level.
2.3 Broms Modified
A modification to the Broms method has been suggested by others (Chen and Kulhawy, 1994). In this modified analysis the Broms conventional or Simple method assumption of the ultimate pressure being 3Kp is used but the depth of the rotation point is obtained by satisfying both the horizontal and moment equilibrium equations. Instead of a concentrated force at the toe, the ultimate negative pressure distribution below the rotation point is also based on the three times Rankine passive pressure assumption (see Figure 2). Simultaneous solution of the two equilibrium equations can be carried out by a trial-and-error procedure. The Solver add-in on Excel can be used to expedite this operation.
A closed form solution for the modified Broms method is available from a more general analysis for both cohesive and cohesionless soils presented by Zhang, 2018. The solution for cohesionless soil is presented in terms of a general ultimate lateral resistance coefficient K. For the Broms Modified analysis K = 3 Kp. (Zhang also indicated that the solution is applicable to the LFP method of Petrasovits and Award, 1972 who assumed that K = 3.7 Kp – Ka. Where Ka is the Rankine active pressure coefficient.) The Zhang analysis involves simultaneous solution of horizontal and moment equilibrium equations and results in complex closed form expressions for the ultimate lateral resistance and the rotation depth. The following simplified expressions for the dimensionless ultimate lateral capacity, fϕ and depth of the rotation centre, zrd were presented by Zhang as being of sufficient accuracy for engineering design.
(4)
(5)
Where
= depth of the rotation centre.
2.4 Meyerhof at al, 1981
Meyerhof et al assumed that the lateral earth pressure which develops at failure is equal to the Rankine passive pressure minus the Rankine active pressure with this pressure difference increased by a pile shape factor.
At depth z below the surface the assumed LFP was given by:
(6)
Where sbu is a pile shape factor based on the theory of pressure on a convex circular wall. It is a function of the pile length to diameter ratio (L/B ) and the soil friction angle ϕ. Plotted values are presented by Mayerhof et al. For L/B = 5 and ϕ = 35º, sbu is approximately 2.6.
The ultimate pressure was assumed to increase linearly from the surface to reach a maximum value at the rotation point then drop to zero. Below the rotation point a negative pressure was assumed to increase linearly from zero to a maximum at the pile toe. A plot of the force per unit length is shown in Figure 2 where it is compared with the force per unit length assumed in the Brinch Hansen, Broms Simple and Broms Modified analyses. The Mayerhof et al plot is based on a L/B ratio of 5 and the plots for all methods are for an eccentricity ratio of e/L = 0.1. The L/B ratio affects the sbu pile shape factor in the Mayerhof et al analysis but does not directly affect the results for the other analyses. The plots are shown in dimensionless form with the force per unit length divided by Kp2 γ ‘BL. (In other methods described below the LFP is related to Kp2 and expressing the dimensionless force in terms of this factor is convenient for comparisons.)
The Mayerhof et al lateral resistance was determined by satisfying both horizontal and moment equilibrium. The ultimate capacity for the lateral force is given approximately by:
(7)
Where Fb is the lateral resistance factor for weight and has a value of 1.25, and rb is the reduction factor for the moment resulting from applying the load at an eccentricity e above the ground, rb = 1/(1 + 1.4 e/L).
In Meyerhof et al, 1981 more general lateral resistance solutions are given for both rigid walls and piles in a soil comprising of two layers with both cohesive and cohesionless properties.
2.5 Prasad and Chari, 1999
Prasad and Chari developed a LFP based on measurements they made on a rigid model pile in sand (uniform and cohesionless) prepared at various relative densities in a steel drum. From the test results the maximum earth pressure was found to occur at a depth of 0.6 times the depth of the point of rotation. They found that maximum pressure, pm at this depth could be calculated by:
(8)
Where zr is the depth of the rotation point below the ground surface.
Based on the test results the maximum pressure at 0.6zr was assumed to decrease linearly to zero at the rotation point then become negative and increase linearly to reach a maximum value at the toe of 1.7 times the peak value above the rotation point (see Figure 3). In the other methods described above, the LFP has a value greater than zero at the rotation point which is not theoretically correct. With zero displacement at the rotation point the pressure must also be zero.
From soil pressure measurements Prasad and Chari found that average pressure across the pile section could be taken as 0.8 time the peak measured value. By considering force and moment equilibrium for the LFP shown in Figure 3, the rotation depth was found to be:
(9)
For e/L = 0 the above expression gives the dimensionless rotation depth, zr/L = 0.79 and for e/L = 0.1, zr/L = 0.77.
The ultimate lateral force capacity was given as:
(10)
Figure 3. Comparison of LFPs for Prasad & Chari, Zhang et al and Guo methods
The ultimate lateral force capacity given by the Prasad and Chari equation corresponded to the point where the load versus pile-head displacement becomes linear or substantially linear after following a curved path. (This definition was used by Meyerhof et al, 1981 and Chari and Meyerhof, 1983.) Prasad and Chari indicated that beyond this point there is only a marginal increase in load and for practical purposes that the soil around the pile within the failure wedge can be considered to have yielded.
2.6 Zhang et al, 2005
Zhang et al, 2005 considered that the soil resistance to lateral movement of a rigid pile could be divided into two components; the frontal normal reaction and the side friction reaction. Based on pressure measurements that were made in lateral load pile tests carried out by Adams and Radhakrishna, 1973; Chari and Meyerhof, 1983; Joo, 1985; Meyerhof and Sastry, 1985, and Prasad and Chari, 1999 they concluded that the best fit to the ultimate frontal pressure was given by:
(11)
Where z is the depth below ground surface.
No measured data were available to determine the side shear resistance. They assumed that the ultimate shear stress resistance was the same as the vertical shear resistance given by API, 1991 as:
(12)
Where Kr is the ratio of horizontal to vertical effective stress and δ is the interface friction between the pile and soil.
For values of Kr and δ they recommended the guidelines given by Kulhawy et al, 1983, and Kulhawy, 1991. For drilled shafts and concrete surround with a rough contact surface against the soil, as generally used in pole wall construction, these guidelines give Kr = (0.9 to 1.0) Ko and δ = 1.0ϕ. Where Ko is the at rest pressure coefficient and ϕ the soil friction angle.
Zhang et al assumed that the LFP for both the frontal soil resistance and side shear resistance followed the profile given by Prasad and Chari, 1991 (as shown in Figure 3). That is, they assumed that the maximum positive pressure occurred at a depth of 0.6 times the rotation depth and that the negative peak value at the pile toe was 1.7 times the positive peak pressure. The Zhang et al LFP is compared with those proposed by Guo and Prasad and Chari in Figure 3. Both the Prasad and Chari and Zhang et al dimensionless LFPs are a function of the soil friction angle which has been taken as 35o for the plots shown in Figure 3. (Since the LFPs are made dimensionless by dividing by Kp2 the changes in the dimensionless LFPs with friction angle are small. In the case of Zhang et al the dimensionless normal pressure force does not change with the friction angle but the shear resistance force is a function of Ko which depends on the friction angle.)
Based on horizontal and moment equilibrium considerations the depth of the rotation point zr was as given by Prasad and Chari (see above) and the ultimate pile head lateral force capacity was given by:
(13)
Where η and ξ are pile shape functions. For a circular pile they are 0.8 and 1.0 respectively (Briaud and Smith, 1983).
2.7 Aguilar et al, 2019
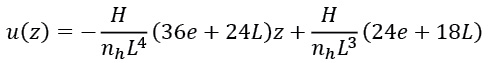
By using the principle of minimum potential energy and assuming that the soil stiffness increased linearly with depth Aguilar et al, 2019 derived the horizontal displacement function for a rigid rotating pile as:
(14)
Where nh is the subgrade reaction modulus (FL-3 units).
By setting u = 0 in the above displacement function the dimensionless rotation depth zr /L is equal to 0.75 for a load eccentricity ratio e/L = 0, and zr /L = 0.74 for e/L = 0.1. These depths are significantly less than given by Prasad and Chari.
Aguilar et al give the pile head ultimate force capacity as:
(15)
Where Pm is the maximum force per unit length at the toe.
With reference to the Prasad and Chari earth pressure profile Aguilar et al give the maximum force per unit length at the toe as:
(16)
Aguilar et al indicate that the above expression comes from a statistical analysis of comparisons between the Prasad and Chari theoretical predictions and test results. However, Prasad and Chari give a significantly higher pressure force at the toe,
that is a value of 1.7 times the peak value at a depth of 0.6 zr).
At low values of e/L the Prasad and Chari ultimate lateral force capacity is approximately 10% higher than given by Aguilar et al.
Aguilar et al considered two failure criteria. The first of these was the Meyerhof criterion used by Prasad and Chari (see above) and the second was based on a hyperbolic fit to the experimental results or the nominal resistance. They suggested that the nominal resistance was a factor of 1.5 times the Meyerhof capacity. The expression for Hu above is for the Meyerhof capacity.
Aguilar et al mentioned the importance of estimating displacements under serviceability conditions and proposed using their deflection equation given above for this purpose. To apply the method values of the soil subgrade reaction nh are required but for elastic response these can be estimated from published values (Terzaghi, 1955). It is a simple approach suitable for the present application.
2.8 Guo, 2008
Guo determined the soil interaction forces on laterally loaded rigid piles in cohesionless soil by assuming elastic-plastic soil behaviour as shown schematically in Figure 4. The nonlinear response of the pile was characterised by slip depths or points where the soil commenced to yield that progressed down from the ground surface and upwards from the pile-toe. Expressions for critical slip depths were developed corresponding to soil yield at the toe and at the rotation point. At toe-yield the force per unit length at the pile toe just attains the limiting yield value of Pu. Prior to and at this state, the pile force profile from soil interaction follows the positive LFP (plastic soil interaction) down to a depth above the rotation depth of zo, below this depth it is governed by elastic interaction. This results in a pile force profile similar to that adopted by Prasad and Chari, 1999 (see Figures 3 and 5). Further increase in load beyond the toe-yield state results in a portion of the pile negative LFP progressing upwards from the toe (at depth L) to a depth of z1 below the rotation point (see Figure 5). With further increase in the load the depths zo and z1 approach each other and merge with the depth of rotation zr which is strictly unachievable. At this stage, the pile force profile follows the positive LFP down from the ground surface and the negative LFP up from the toe to the rotation point. This fully plastic or ultimate limit (although unachievable) was adopted by some investigators including Brinch Hansen, 1961 and Petrasovits and Award, 1972.
Figure 4. (a) Pile-soil system. (b) Soil load versus displacement model. Value of u* in [ ] is for Constant k. Other value is for Gibson k. From Guo 2008.
Figure 5. (a) Toe-yield state. (b) Post-toe yield state. From Guo, 2008.
Guo developed solutions for both a Constant subgrade modulus and a linearly increasing modulus with depth (Gibson k). The solutions were in reasonable agreement with data measured in tests by Prasad and Chari, 1999 and other numerical predictions (Laman et al, 1999).
Guo assumed that within the elastic soil range the pile force per unit length was given by:
P = ko z B u: for Gibson modulus (17)
P = kc B u: for Constant modulus (18)
Where ko is the soil modulus for Gibson modulus (FL-4 units), kc is the soil modulus for Constant modulus (FL-3 units), B the pile outside diameter, z the depth below the surface and u the pile lateral displacement.
Upon reaching the plastic state the net limiting force per unit length (LFP) on the pile is given by:
Pu = Ar z B (19)
Where Ar z is the pressure on the pile surface (FL-2 units) contributed by radial and shear stresses around the pile surface.
Based on the tests carried out by Prasad and Chari, 1999 (and other experimental work), Guo assumed that Ar was given by:
Ar = γ ’ Kp2 (20)
Where γ ‘ is the soil effective unit weight.
The displacement of a rigid pile varies linearly with depth and is given by:
u = ω z + uo (21)
Where ω is the rotation (in radians) and uo the displacement at the ground surface. Above a depth of zo, called the slip depth, the pile displacement reaches a local threshold given by:
u* = ω zo + uo (22)
For the Gibson k assumption, the threshold displacement is given by:
u* = Ar /ko (23)
The unknown rotation ω and displacement uo given in the above equations were determined by solution of the equilibrium equations for pile force and moment. Prior to toe-yield, relevant dimensionless solutions in terms of the pile head lateral force H and slip depth zo are given for the Gibson k assumption by:
(24)
(25)
(26)
(27)
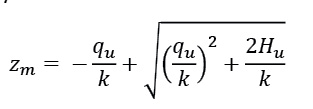
The depth of the maximum moment in the pile, zm for zm < zo is given by:
(28)
Guo, 2008 also presents a maximum moment depth for zm > zo. This case results in a complex expression which is not relevant for the present application.
The maximum moment, Mm for zm < zo is given by:
(29)
At toe-yield zo = z¯o where z¯o is given by the solution of the cubic equation:
(30)
This cubic equation can be solved by trial and error which can be expedited using the Excel Solver add-in.
Force, displacement, and rotation solutions for Constant k are:
(31)
(32)
(33)
(34)
The equations for zm and Mm for zm < zo are the same as for the Gibson k equations. At toe yield z¯o for Constant k is given by:
(35)
In contrast to the Gibson k case, a direct solution is obtained for z¯o from this equation without iteration.
The slip depths and rotation depths at toe-yield are plotted for both the Gibson and Constant k cases in Figures 6 and 7 respectively. For Gibson k the second order polynomial trend lines shown on the plots are sufficiently accurate for design purposes and eliminate the need to solve the cubic equation. The trend lines give the slip depth and rotation depths as:

Figure 6. Slip depth ratio at toe-yield for Constant k and Gibson k. Trend line is shown for Gibson k case.
Figure 7. Rotation depth ratio at toe-yield for Constant k and Gibson k. Trend line is shown for Gibson k case.
Equations (23) to (37) for both the Gibson and Constant k are only valid up to toe-yield. Guo, 2008 also presents force, displacement, and rotation equations for horizontal forces greater than the toe-yield and up to the ultimate load when yield commences at the rotation point (unachievable in theory because of the large associated rotation). For the present application, the response beyond toe-yield is not of particular interest although displacements for forces beyond this point are shown in Figures 8 and 9.
Force versus displacement functions (in dimensionless terms) generated from Guo’s equations for Gibson and Constant k are shown in Figures 8 and 9 respectively. For comparison, the Prasad and Chari ultimate lateral loads, Hu are shown for each of the corresponding e/L curves plotted in Figure 8 for the Gibson k case. The Gibson k lateral toe-yield forces are approximately 16% higher than the Prasad and Chari ultimate forces over the e/L range of 0 to 0.4.
Figure 8. Force versus displacement for Gibson k.
Figure 9. Force versus displacement for Constant k
Guo validated his theoretical solutions with results from tests on model piles carried out by Prasad and Chari. Figure 10 shows a comparison between the Guo predictions with results for a model steel pile with embedded depth of 612 mm, outside diameter of 102 mm and the load applied at 150 mm above the soil surface (e/L = 0.25). The soil was a well graded sand with relative density Dr = 0.75 (unit weight of 18.3 kN/m3 and friction angle of 45.5o). (By curve fitting Guo derived an Ar value of 739 kN/m3 which was used in the comparison. This value is about 15% higher than the Ar calculated from the unit weight and friction angle.) For the comparison, the Gibson k displacements have been made dimensionless by dividing by the average kc value over the depth of the pile rather than ko which was used in Figure 8.
Figure 10. Comparison of Guo theory with Prasad & Chari model pile test for sand with Dr = 0.75.
Figure 10 shows reasonable agreement between the theoretical load versus displacement curves and the test results, with the test results lying between the Gibson and Constant k curves. The assumption of an elastic-plastic soil rather than more realistic stress-strain behaviour is the main reason why closer agreement is not expected.
The Guo dimensionless pile head lateral force at toe-yield versus the eccentricity ratio (e/L) is plotted in Figure 11 for both the Gibson and Constant k soils. A polynomial trend line for the Gibson k dimensionless pile head lateral force at toe-yield is given by:
(38)
Where Hy is the horizontal force capacity at toe-yield.
This trend line equation can be used to estimate the pile-toe yield load to sufficient accuracy for design (only accurate for e/L < 0.5).
Figure 11. Pile head force at toe-yield from Guo method for Gibson and Constant k soils. Trend line is shown for Gibson k.
The Guo method provides greater pile response detail than the other LFP methods investigated (including those summarised above and several others) in that it considers soils with both Constant and Gibson k stiffness properties. It also provides displacement response curves from initial pile head lateral loading up to the ULS force (yield at the rotation point). In particular, the response curve up to the toe-yield load provides the design information required for the present application. The assumption of elastic-plastic soil behaviour may limit the accuracy of the estimated displacements for some soils.
Comparisons of solutions from the Guo method with other LFP methods and test results are presented in the following sections. It was concluded that the Geo method is the most satisfactory of the simplified LFP methods for the present application. Solutions can be obtained by evaluating Equations (24) to (37) on a spread sheet or by using the results plotted in Figures 6 to 9, and 11.
2.9 Comparison of LFP Methods
The ultimate pile head lateral force capacity for e/L ratios from 0 to 0.5 was calculated for each of the LFP methods discussed above. Average dimensionless ultimate force capacity over this e/L range is shown in Figure 12 for soil friction angles of 30o and 35o. The toe-yield capacity for the Guo methods was used in the comparison. For the Meyerhof et al, Prasad and Chari, Zhang et al, and Aguilar et al methods the capacities shown are the Meyerhof capacities. Broms, 1964 compared the ultimate capacity from his Simple method with a number of test results and indicated that his method gave conservative results so this may indicate a capacity equivalent to the Meyerhof capacity. The Broms Modified and Brinch Hansen methods are based on a force profile that reaches yield at the rotation point and it is unclear whether they correspond to the Meyerhof capacity. The Broms Modified method is based on an LFP of 3Kp2 and this is probably a conservative assumption (see Zhang et al, 2005).
Figure 12. Comparison of pile head lateral force capacities from LFP methods.
For the 30o soil friction angle the dimensionless force capacities range from 0.065 (Aguilar et al) to 0.14 (Broms Simple). This is a very wide range; a factor of greater than 2 between the lowest and highest capacity estimates, and indicates that the Broms Simple method, which gives the highest capacity, is probably unconservative.
With the exception of the two Broms methods, the dimensionless capacities are almost independent of the friction angle. This is because the LFPs in other than the Broms methods are essentially a function of Kp2 (with minor variations) and the capacity has been made dimensionless by dividing by Kp2.
A further comparison of the LFP methods was made by calculating the pole embedment depth required by each method for a typical 3 m high vertical pole wall assumed to be loaded by gravity loads including a live load on the assumed level surface behind the wall. The parameters assumed in the analysis are summarised in Table 1.
Table 1. Typical Pole Wall: Analysis Input Parameters
The active pressure from the wall backfill and surface live load was assumed to act on the pole down to the rotation point but was assumed to remain constant with depth below the level of the ground in front of the wall. For calculating the passive LFP the ground was assumed to be horizontal and at the level in front of the wall. A factor of 1.2 was applied to the vertical stress to make allowance for the increase in stress resulting from the additional height of soil behind the wall (see Section 3).
The lateral force capacity of the poles was approximately 64 kN. The depth of the point of rotation varied between the methods with a corresponding variation in the applied load (from the active pressure on the pole) and this changed by a small amount the ultimate lateral resistance required by each method.
Main results from the wall analysis are summarised in Table 2.
Table 2. Typical Pole Wall: Comparison of Pole Embedment Depths
The typical wall analysis gave embedment depths between 2.4 to 3.15 m. That is, a factor of 1.3 between the smallest to greatest depth. A significant variation but perhaps not as great as the comparison of the pile head ultimate force capacities might indicate (Figure 12).
2.10 Comparison of LFP Methods with Pile Test Results
Ultimate pile head lateral force capacities predicted by the LFP methods discussed above were compared with the lateral force capacities observed in reported pile tests for short rigid piles in cohesionless soils (mainly sands). For this comparison only tests with L/B and e/L ratios less than 9 and 0.5 respectively were selected. Forty-one laboratory tests, nine field tests, and two centrifuge tests satisfied these limits and were used in the comparison. A summary of the selected tests including pile dimensions and the main soil parameters is given in Table 3. (The length and eccentricity ratio limits were based on the expected range in the present application.)
Table 3. Lateral Load Tests on Rigid Piles in Cohesionless Soil
Ratios of the calculated lateral capacity divided by the observed capacity were computed for the LFP methods investigated. Average values of this ratio, the standard deviation of the average and the coefficient of variation are listed in Table 4. The observed capacities were thought to be based on approximately the Meyerhof capacity or approximately a factor of 1.5 less than the ULS or hyperbolic capacity. Capacities given in Chen and Kulhawy, 1994 (EPRI project) were labelled lateral or moment limits and it was stated that this limit was approximately the load at which initial failure occurred and that it did not correspond to the ULS. Ratios between the hyperbolic (ULS) and the lateral or moment limits given by Chen and Kulhawy for the tests that were considered in the present comparison were mostly between 1.2 and 2.1. There is some uncertainty in how the observed capacity was assessed so the information presented in Table 4 is illustrative of the relative magnitude of calculated/observed ratios for the methods rather than the absolute values.
Table 4. Observed/Calculated Pile Test Capacities
The Zhang (Barton), 2018 and the Petrasovits and Awad, 1972 methods listed in Table 4 are not discussed in detail above. Both are similar to the Broms Modified method with the LFP reaching a maximum positive value and a corresponding negative value at the rotation point. In the Zhang method, the LFP is defined by Pu = z Kp2γ’B (FL-1 units) which Zhang indicated was used by Barton, 1982. In Petrasovits and Awad the LFP is defined by, Pu = z (3.7Kp2 – Ka) γ’B.
The average ratio of observed to calculated values shown in Table 4 indicates that all methods except the Mayerhof, Brinch Hansen and Zhang methods give satisfactory agreement with test results. The Broms Simple method gives better agreement than expected but many of the tests involved soils with friction angles greater than 35o (see Table 3). In soils with friction angles lower than this value it is expected to give unconservative capacities. Zhang, 2018 indicated that his method (using the Barton LFP) gave the hyperbolic capacity which is approximately 1.5 times greater than the Mayerhof capacity calculated by the other methods except for Guo’s methods. Therefore, it also gives capacities that are in satisfactory agreement with the test results.
The Guo Gibson k method gives values that on average are approximately a factor of 1.25 times the observed test values. However, the capacity for this and the Guo Constant k methods are based on the LFP reaching the soil yield pressure at the pile-toe and this capacity is thought to be significantly higher than the Meyerhof capacity. It is unclear how the Meyerhof capacity could be determined from the Guo response curves shown in Figures 8 and 9 which have significant curvature for lateral force values greater than 0.5 times the pile-toe yield capacity. Equations given in Guo, 2008 for the case when both the positive and negative LFPs reach yield at the rotation point (force versus displacement curve approaches an asymptotic value) enable the hyperbolic capacities to be estimated and these are approximately 1.15 and 1.10 times the toe-yield capacities for Gibson and Constant k soils respectively (for e/L values between 0 to 0.4). If it is assumed that the Meyerhof capacity is approximately a factor of 0.7 times the hyperbolic capacity then the Guo Gibson k average observed/calculated test result ratio reduces to approximately 1.0 (1.25*1.1*0.7) for the Meyerhof capacity.
3. Gravity Stresses Near Wall Face
The LFP in all the methods discussed above is a function of the vertical effective stress in the soil assumed to be given by z γ ‘. The lateral load capacity calculations are based on the ground having an approximately level surface near the pile with z being the depth below this level. In all the tests used for the comparison with the calculated capacities the ground surface was level. However, in the case of a pole retaining wall there is a step in the surface at the wall face with the depth of the pole toe below the ground in front of the wall being approximately the same as the height of the wall face. The wall ground surface geometry is therefore significantly different from that assumed in the pile head lateral force capacity calculation methods.
In the case of a wall the passive soil resistance against the pole above the rotation point is usually based on the depth below the ground in front of the wall. In contrast, the passive resistance below the rotation point is sometimes based on the depth below the ground surface adjacent to the top of the wall. This approach results in the calculated vertical stresses near the rotation point differing by a factor of approximately two over a short horizontal distance either side of the pole. This is an approximation that needs to be investigated in more detail since an increase in the vertical stress in the soil above the assumed value in front of the wall will increase the LFP on the pole above the pole rotation point, whilst a decrease in assumed vertical stress in the soil behind the wall will decrease the LFP on the pole below the rotation point.
As part of the present study the vertical stresses near the face of a 3 m high wall with level ground in front and behind the wall were calculated using an elastic plane strain finite element model. Vertical stress contours calculated by the model are shown in Figure 13. A soil unit weight of 20 kPa was used in the analysis and this resulted in the steps between the contours on the plot being approximately 13.5 kPa. The vertical wall boundary was unrestrained. This approximately simulates an active pressure state on the wall face.
Figure 13. Vertical stress contours from elastic FEA analysis of 3 m high wall.
At a depth of approximately the wall height below the ground surface in front of the wall there is significant variation in the vertical stresses on a horizontal plane extending both in front of the wall and into the backfill for a distance of the wall height (3 m). At a depth of 3 m below the surface in front of the wall and at distance of 3 m in front of the wall, the vertical stress is 67 kPa or a factor of 1.11 times the vertical stress at a large distance in front of the wall face (60 kPa = 3 x 20). At this same depth and at a distance of 3 m behind the wall face, the stress is 112 kPa or a factor of 0.93 the vertical stress at a large distance behind the wall face (120 kPa = 6 x 20). On a horizontal plane at a depth of 1.5 m below the surface in front of the wall these factors are lower but are still significant being 1.07 in front of the wall and 0.95 behind the wall.
Figure 14 shows a plot of the vertical stresses near the wall face at a depths below the surface in front of the wall between 0.35 and 1.35 times the wall height. The horizontal distance from the face is shown in terms of pole diameters with the diameter taken as 0.6 m which is typical for a 3 m high wall. The positive direction is taken to be in the direction from the face into the backfill. The vertical stresses are plotted as the ratio of the FEA stress divided by the gravity stresses at large distances from the wall. The large distance stress is based on the depth below the ground in front of the wall and behind the wall for the stresses in front of the wall and behind the wall respectively.
Figure 14. Vertical stress ratio near the wall face computed by elastic FEA.
Figure 14 shows that at two pole diameters in front of the wall the vertical stress ratio is between 1.27 and 1.4 with the ratio in the shallower depths (above 0.7 of the wall depth) being approximately 1.4. At two pole diameters behind the wall face the stress ratio is approximately 0.87 for depths greater than 0.35 of the wall depth. Figure 15 is a modification of Figure 14 with the FEA vertical stresses on either side of the wall shown as the ratio of the stress divided by the gravity stress at a large distance from the front of the wall. Figure 15 is relevant for the case when the analysis of the pole lateral capacity is based on the assumption that the ground surface is horizontal and at the level in front of the wall. Both Figures 14 and 15 show that at two pole diameters in front of the wall the gravity stress ratio over the upper section of the pole is approximately 1.4. This ratio drops to about 1.2 at three pole diameters from the wall so the impact on the passive LFP is rather uncertain. Figure 15 shows that the stress ratio in the backfill region at the pole toe (depth ratio approximately 1.0) at two pole diameters from the face is between 1.5 and 2.1 and increases to between 1.6 and 2.2 at three pole diameters. These stress ratios in both directions from the wall face indicate that the pole lateral load capacity will be significantly greater than calculated assuming the ground to be horizontal at the level in front of the wall. A correction could be applied by increasing Ar (or the effective unit weight of the foundation soil) by a factor of between 1.2 to 1.4. (A factor of 1.2 was used in the wall example described in Section 2.9 and Table 1.)
Figure 15. Vertical stress ratio near the wall face computed by elastic FEA.
In the Broms Modified analysis (effectively a trial-and-error analysis) the LFPs above and below the rotation point can independently adjusted by scaling the passive resistance in the two regions. In the 3 m wall example described in Table 1, changing the LFPs by factors of 1.4 and 0.87 above and below the rotation point respectively, increased the Broms Modified lateral load capacity compared to the same wall without LFP modifications by approximately 30%. The modified LFPs reduced the required depth of embedment of the poles by approximately 12%. (These changes were based on using the total height to the top of the wall for calculating the LFP below the rotation point.) Although it is possible to modify the Guo analyses to allow for variations in vertical stress in the soil foundation near the wall face this adds complexity to the method which is not justified for the present application. As suggested above, assuming horizontal ground at the level in front of the wall and increasing the Ar by a factor of between 1.2 to 1.4 is a satisfactory approach for the present application.
4. Pile Spacing Effects
For timber pole retaining walls the ratio of the pole centreline horizontal spacing, S divided by the embedded pole diameter (S/B ratio) is typically between 1.5 and 4.0. The spacing adopted is dependent on both the pole lateral resistance and the strength of the timber facing elements. For walls with a height of 3 m the spacing is likely to be at the lower end of this range. Below S/B ratios of 4.0 there is significant interaction between the stresses in the soil arising from the lateral loading of individual poles.
The lateral load behaviour of piles in groups is commonly analysed using the p-y method in which pile interaction is taken into account using a p-multiplier which is applied to the ultimate lateral load resistance of a single pile. A summary of relevant research on pole spacing effects is given below.
4.1 Georgiadis et al, 2013
Georgiadis et al used lower and upper bound finite element limit analysis and analytical upper bound plasticity methods to investigate the limiting lateral resistance of piles in a single pile row embedded in an undrained cohesive soil. Numerical analyses and analytical calculations were presented for various pile spacings and pile-soil adhesion factors. The numerical results were in good agreement with each other and also with the theoretical upper bounds produced by the analytical calculations. An empirical equation was proposed for the calculation of the ultimate undrained lateral bearing capacity factor.
4.2 Pham et al, 2019
Pham et al investigated the ultimate lateral resistance for pile groups consisting of various arrangements of four piles, as well as two piles, three piles, four piles, and an infinite number of piles arranged in a row (relevant to the present application) against ground movement for various direction of the ground movement. They used a two-dimensional rigid-plastic finite element method to determine the total ultimate lateral resistance of the pile groups, but also the load bearing ratio of the piles in the group. The group effect was further investigated by considering the failure mode of the ground around the piles.
Although the study was based on pile resistance to ground movement, rather than loads applied to the piles as in the Georgiadis et al study, the results were similar for both types of loadings.
4.3 Chen and Chen, 2008
Chen and Chen used elasticity theory and the concept of a fictitious pile to develop a rigorous analysis of the interaction factors between two piles subjected to horizontal loading and bending moment applied to the pile at the ground surface. By assuming the displacement compatibility between fictitious piles and the extended soil, the problem was reduced to a Fredholm integral equation of the second kind, which could be solved readily with numerical procedures. Close agreement was obtained between their results and other numerical results presented for the horizontal influence factors of single piles. They found that the conventional interaction factor approach, which ignores the pile stiffening effect, would generally yield satisfactory results, but may overestimate considerably the interaction effect when the piles are long and flexible.
4.4 Rollins et al, 2003
Static lateral load tests were conducted on three single piles and four pile groups at centre-to-centre spacings of 3.0, 3.3, 4.4 and 5.6 pile diameters. The pile groups had three to five rows with three piles in each row and the test piles consisted of steel piles of outside diameter 0.32 m and 0.61 m. Fifteen cycles of loading were applied at each deflection increment to evaluate the effect of cyclic loading and gap formation on lateral resistance. The load carried by each pile was measured along with deflection, rotation, and strain along the length of the pile to allow comparisons between the behaviour of the pile group and the single pile (Rollins et al, 1998). In addition, comparisons were made between the measured and calculated values using three computer programs based on the p-y method (Rollins et al, 2006).
The lateral resistance of the piles in the group was found to be a function of row location within the group, rather than location within a row. Contrary to expectations based on elastic theory, the piles located on the edges of the group did not consistently carry more load than those located within the group. The front row piles in the groups carried the greatest load, while the second and third row piles carried successively smaller loads for a given displacement. However, the fourth and fifth row piles, when present, carried about the same load as the third-row piles. Average lateral load resistance was a function of pile spacing. Little decrease in lateral resistance was observed for the pile group spaced at 5.6 pile diameters; however, the lateral resistance consistently decreased for pile groups spaced at 4.4, 3.3 and 3.0 pile diameters. Group reduction effects typically increased as the load and deflections increased up to a given deflection but then remained relatively constant beyond this deflection.
The Rollins et al pile tests were carried out in clay soils but they concluded that their p-multiplier curves for estimating pile interaction effects appeared to give reasonable estimates of the behaviour of pile groups in sand based on available full-scale and centrifuge testing (McVay et al, 1995). They also suggested that the curves were not significantly affected by the pile diameter or pile head boundary condition.
4.5 Mokwa and Duncan, 2005
In discussing a paper by IIyas et al, 2004 related to centrifuge tests on the lateral resistance of pile groups, Mokwa and Duncan presented results of their review study on the behaviour of the response of pile-groups to lateral loads (Mokwa and Duncan, 1999; Mokwa and Duncan, 2001). On the basis of the results of these studies, which summarized 29 separate field tests in varying soil conditions, Mokwa and Duncan developed a design chart to estimate values of the p-multiplier factor that were based on pile spacing and pile location within a group.
4.6 Lin et al, 2015
Lin et al carried out an experiment on a fully instrumented model to investigate the soil-structure interaction on single short, stiff pile laterally loaded at the head. The pile had a steel pipe section with diameter 102 mm, wall thickness 6.4 mm, and a length of 1.52 m. It was installed in well-graded sand and subjected to increasing lateral load. The pile and surrounding soil were fully instrumented using advanced sensors, including flexible shape acceleration arrays, thin tactile pressure sheets, and in-soil null pressure sensors. The sensors attached to the pile were used to develop the compressive soil-pile interaction pressures and the lateral displacement along the pile length. The tactile pressure sheet sensors provided the soil-pile interaction compressive pressures on the circumference of the pile at a specific depth and along the length of the pile. The null pressure sensor measurements were used to develop the distribution of horizontal stress changes in the soil around the pile as the lateral pile displacement increased.
Theoretical analysis of the nonlinear interaction of piles laterally loaded in cohesionless soils is complex. Finite element analysis can be used to study this problem but numerical results for the range of pile geometries relevant to the present study have not been published. The experimental study of Lin et al is therefore informative for the present application.
Figure 16 shows the pressures measured in the soil surrounding the pile at the ultimate lateral load of 3.8 kN reached at the end of a test. Contours are soil pressures with labels in kPa. Of interest for the present application is the pressure drop in the lateral direction (x-direction). At a lateral distance of 2.5 pile diameters the pressure in the soil has dropped from a peak value of greater than 50 kPa on the leading face to approximately 5 kPa. This indicates that there would be negligible interaction effect for piles spaced on centrelines of greater than 5.0 diameters in cohesionless soils.
Figure 16. Contours of soil stress surrounding laterally loaded model pile at ultimate load (3,799 N and pile head displacement of 86.1 mm). From Lin et al, 2015.
4.7 Comparison of p-multiplier Interaction Curves
A comparison of p-multipliers from the results of the investigations mentioned above is shown in Figure 17. The curves from Pham et al and Georgiadis et al are for piles with full adhesion (perfectly rough) and are based on theoretical finite element and plasticity theory. The Rollins et al curve and the p-multiplier proposed by Mokwa and Duncan are from pile test results and apply to the leading row of multi-row pile groups.
The p-multipliers from the test results are significantly lower than the values obtained by Pham et al and Georgiadis et al indicating greater pile–soil–pile interaction effects. The test values are applicable to the entire pile length, and one of the reasons for this difference could be that the reduction in the limiting earth pressure, due to group effects, is not constant with depth, as implied by the adoption of constant p-multipliers. The theoretical p-multipliers are applicable to the lower part of piles, where the flow around failure mechanism assumed is predominant. The depth below the surface where two-dimensional plane strain failure occurs, is likely to increase with the decrease of pile spacing, which could explain the large discrepancies at small pile spacings. Other factors that may contribute to the differences are the different soil types and the different geometrical characteristics of the tests. The tests were for multiple rows and interaction between the leading and second row would result in lower p-multipliers.
Chen and Chen reduction factors based on elasticity theory are shown in Figure 17 for pile to soil Young’s moduli ratios, Ep /Es of 10 and 500. They are based on an assumed row of 5 piles (interaction was computed by superposition of the influence coefficients between two piles) and for L/B ≥ 10 (the only length to diameter ratio presented by Chen and Chen). Although elastic solutions are not relevant for the present application, they provide a lower bound for the p-multiplier reduction factors.
For the present design application, a recommended curve is shown in Figure 17. It generally follows the Mokwa and Duncan curve (a straight line) but with the p-multiplier reducing to 1.0 at S/B = 5 instead of at a ratio of 6.
Figure 17. Pile spacing reduction factors (p-multipliers).
5. Ultimate Lateral Force Capacity of Rigid Piles in Cohesive Soil
Significant research effort has focused on the determination of the limiting lateral load, Pu distribution with depth for single piles in clay (Matlock, 1970; Reese and Welch, 1975; Stevens and Audibert, 1980; Murff and Hamilton, 1993; Jeanjean, 2009; Georgiadis and Georgiadis, 2012). This research established that Pu increases with depth in the upper part of the pile, where a wedge-type failure occurs, up to a maximum value and remains constant in the lower part of the pile. In this lower part failure take place with a flow-around mechanism. Randolph and Houlsby, 1984 developed lower and upper bound plasticity solutions for the calculation of the maximum load per unit length, and proposed the following lower bound equation, expressed in terms of the single-pile lateral bearing capacity factor, Np:
(39)
Where su is the undrained shear strength, B is the pile diameter and α is the pile soil adhesion factor (limiting interface shear stress/undrained shear strength). Martin and Randolph, 2006 showed that the above expression gives the theoretically exact solution for all practical purposes.
The above equation gives Np values of 9.14 and 11.94 for perfectly smooth and full adhesion on the pile-soil interface respectively.
Some of the models that have been developed to describe the limiting lateral force per unit length down the full depth of the pile are described below.
5.1 Reese Model
In the Reese model (Reece 1958; Reece et al 1974), the soil behaviour is divided into either shallow or deep failure. For shallow failure, a three-dimensional passive wedge is assumed to exist in front of the pile. By summing the wedge forces in the horizontal direction, the soil resistance against the shaft was obtained. This procedure gave an Np of 2 if the failure wedge occurs with a vertical inclination of 45o without shear forces between the shaft and soil. For the deep failure, at depths greater than 3B Reece undertook a simplified plasticity analysis and estimated an Np of 12. The Np between ground surface and 3B depth was obtained by linear interpolation, to give the Np profile shown in Figure 18.
5.2 Brinch Hansen Model
As discussed above for cohesionless soils, Brinch Hansen, 1961, considered the soil behaviour at shallow, moderate, and large depths. He considered soils with both friction and cohesion components and developed equations and corresponding charts using simplified plasticity theory based on horizontal translation of a rough wall and deep strip foundations. For a purely cohesive soil (zero friction angle) the variation of Np with depth calculated using his equations is shown in Figure 18. The value of Np at a depth of 3B is 6.2.
The yield stress was assumed to act uniformly across the shaft diameter and is multiplied by the shaft diameter to obtain the yield or lateral force per unit length.
5.3 Broms Model
Broms, 1964b employed classical plasticity theory for determining values for Np and examined a number of different shaft shapes and surface roughness. The resulting Np values ranged from 8.28 for a smooth square shaft to 12.56 for a rough flat plate. The value for a smooth circular shaft was 9.14 which agrees with the value calculated from the Randolph and Houlsby, 1984, equation given above. As a simplification, he assumed that Np = 9 below a depth of 1.5B and Np = 0 above that depth (see Figure 18).
5.4 Stevens and Audibert Model
By comparing available p-y curves (Matlock, 1970; API, 1977) Stevens and Audibert, 1979 back figured a profile of Np with depth from instrumented driven pile load test data. Their observed Np range versus depth is shown in Figure 18. They recommended the profile shown within the observed range. No equation was given to represent this profile. For z/B > 4, Np = 12.
5.6 Randolph and Houlsby Model
Randolph and Houlsby, 1984 considered a wedge failure at shallow depth and used plasticity theory for Np at large depths. Their Np profiles for smooth and rough shafts are shown in Figure 18. At the ground surface, a yield stress of 3su was obtained from a passive stress of 2su in front of the shaft and allowance for side shear. As described above, at depth they considered the soil as a perfectly plastic cohesive material. The rough shaft Np limiting value of 11.9 at depth is relevant to the present study because drilled holes backfilled with pole concrete surround are likely to be perfectly rough.
Figure 18. Np profiles. From Chen and Kulhawy, 1994.
5.7 Pender Model
Pender, 2000 found that the assumption made by Broms of an unsupported depth of 1.5B was too conservative for the short piles used in pole wall design. To determine an appropriate depth, he used the pressure distribution shown in Figure 19 that has a Np value of 5 at the ground surface increasing to 12 at a depth of 3B. His conclusion was that a depth of 250 mm of zero resistance was appropriate for short piles used in pole wall design.
Figure 19. Np profile used by Pender, 2000.
5.8 Ultimate Lateral Force Capacity in Cohesive Soil (Undrained)
The pile head lateral force capacity, Hu is calculated from the cohesive LFP by limit equilibrium analysis of the horizontal forces and moment in a similar manner to that described for cohesionless soils. This requires the simultaneous solution of force and moment equilibrium equations with unknown variables the depth of rotation and the lateral force.
Solutions for the assumed LFP shown in Figure 20 are presented in Pender, 1997; Motta, 2013, and Zhang, 2018. The solution for this LFP is readily applied to the case when there is zero resistance in a top layer of depth zt below the ground surface by reducing the pile depth below the ground surface of L by zt and increasing the eccentricity e by zt (effectively an artificial ground surface at depth zt )
Figure 20. Assumed LFP for analysis. From Zhang, 2018.
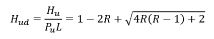
Compact forms of the solution are given by Zhang, 2018. Minor rearranging of his solution gives the dimensionless ultimate lateral load capacity Hud as:
(40)
Where
the limiting force on the pile per unit length, ![]()
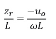
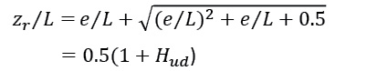
The dimensionless rotation depth zr/L is given by:
(41)
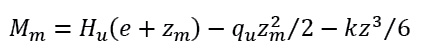
The depth to the maximum bending moment in the pile, zm and maximum moment, Mm are determined from calculating the depth of zero shear force in the pile and are given by Pender, 1997 as:
(42)
(43)
The depth zm is taken from the effective soil surface (surface level reduced by depth zt of any layer of zero resistance). If a zero-resistance surface layer is assumed, the force eccentricity e above actual ground level is increased by zt.
By assuming elastic-plastic soil response Motta, 2013 presented lateral force versus displacement curves. Defining an elastic stiffness or modulus of the soil-reaction as Es (FL-2 units) the limiting deflection is given by:
(44)
After the soil yields the soil force on the pile was assumed to be constant with increasing soil deflection (see Figure 21). Motta defined three cases of soil-pile interaction as shown in Figure 22.
Figure 21. Soil elastic-plastic response. From Motta, 2013.
Figure 22. Soil-pile interaction for limiting force on pile constant with depth. From Motta, 2013
In Case 1 the soil remains elastic over the pile depth. With increasing deflection Case 2 is reached with yield in the soil down to depth a at distance x above the rotation point. With further deflection yield in the soil is reached at the pile toe and Case 3 commences with yield progressing from the toe up to the rotation point. (The soil-pile interaction to reach limiting forces on the pile is similar to the interaction described above for cohesionless soils.)
From equations presented by Motta the pile top lateral force required to initiate soil yield at the pile toe, Hy can be calculated from the following expression:
(45)
Where ed = (e + zt)/ Le and Le is the length of pile excluding the ineffective soil depth zt
The pile ground level displacement, uy at toe yield can be calculated by:
(46)
Solutions for the dimensionless ultimate lateral load, load at toe yield and the depth of the rotation point as functions of eccentricity ratio ed (e/L) are shown in Figure 23. Ultimate loads are shown for three cases; ztd = 0 (no limiting force reduction in the top layer), ztd = 0.1 (no resistance in top layer of depth 0.1L) and for a top layer with a limiting force profile increasing from 0.3Pu at the surface to 1.0Pu at a depth of ztd = 0.2, where ztd = zt /L. The dimensionless ultimate and yield forces, and the eccentricity ratio are plotted in terms of L the length of the pile from ground surface to the toe with the eccentricity, e taken as the height of the horizontal force above ground level. Yield loads and rotation depths are only shown for the first two cases because yield loads and rotation depths cannot be readily calculated for the case where Pu varies with depth (there is no available closed form equation). The rotation depth for the ztd = 0.1 case is calculated from the actual ground surface (rather than the effective surface).
Figure 23. Ultimate load, yield load capacities and rotation depths for three LFPs
For the two cases where pile toe yield capacities were calculated the ultimate load capacities are approximately 20% higher than the yield capacities over the ed range of 0 to 1.0. Reducing the resistance to zero in a top layer of dimensionless depth ztd = 0.1 reduces the ultimate capacity by approximately 22%. The ultimate capacity for this case is on average 8% less than the case with the variable LFP in the zdt = 0.2 top layer so it gives a conservative estimate for the more realistic case of a variable LFP in the top layer.
Ultimate and yield capacities for values of zt > 0 can be estimated from the zt = 0 curves by using appropriate values of e and L in the dimensionless parameters. (For zt = 0.1 an ed value = (0.1+e)/0.9 and an effective length of 0.9L would be used to estimate Hu and Hy from the zt = 0 curve.)
Dimensionless pile head lateral force versus ground level (uo) displacement curves, calculated from displacement equations given by Motta, 2013, for e/L ratios from 0 to 1.0 are shown in Figure 24.
Figure 24. Dimensionless force versus ground level displacement
5.9 Comparison of Capacities Using the Broms LFP with Pile Test Results
Ultimate capacities predicted by the constant LFP or Broms method discussed above for cohesive soil were compared with lateral load test results published in Chen and Kulhawy, 1994 for short rigid piles in clay soils. For this comparison only tests with L/B and e/L ratios less than 9 and 1.1 respectively were selected. Forty-three laboratory tests and seven field tests satisfied these limits and were used in the comparison. A summary of the selected tests including pile dimensions and the soil shear strength is given in Table 5.
Table 5. Lateral Load Tests on Rigid Pile Tests in Clay Soil (From Chen & Kulhawy, 1994)
Zhang, 2018 calculated ultimate capacities using the limiting force of 9suB recommended by Broms and compared these capacities for a range of 58 laboratory and field tests, including tests on piles with L/B and e/L ratios greater than considered in the present study. However, he assumed that the soil provided resistance over the total pile length and did not use the 1.5B ineffective top layer recommended by Broms, 1964b. The average ratio of calculated ultimate capacity divided by the test capacity (Hu/Qu) over the 50 tests considered in the present study was 1.09. The test load capacities were taken as the hyperbolic (or ULS load) as presented in Chen and Kulhawy, 1994. For the present study, corresponding ultimate capacities were calculated assuming a Np value of 11 (based on full soil adhesion) instead of 9, and assuming ineffective top layer depths of zero, 0.5B and 1.0B. Results from these analyses and the analysis based on Zhang’s assumptions for the relevant 50 tests are summarised in Table 6.
Table 6. Observed/Calculated Pile Test Capacities
Overall, there is reasonable agreement between analyses based on the constant LFP (Broms method) and the test results but the level of agreement was sensitive to the assumption made regarding the depth of the top layer with ineffective resistance. The Np value of 9 and ineffective layer depth of 1.5B recommended by Broms gives load capacities less than 50% of the average of the test capacities (based on the hyperbolic, ULS). The average L/B ratio for the test piles was 4.4 so reducing the effective length by 1.5B has a significant impact on the load resistance. For longer piles the reduction in resistance would obviously be less.
For the present application, using an Np of 11 (based on a rough soil-pile interface) and assuming that the depth of ineffective layer is 0.5B appears acceptable and gives good agreement with the average of the test load capacities. A top ineffective depth of 0.5B would correspond to about 300 mm or about 0.1L for typical pole walls that have L/B ratios of about 5.
5.10 Comparison of Depths of Embedment Required for Typical Pole Wall
A further comparison of the assumptions made in application of the constant LFP assumption was made by calculating the pole embedment depth required by three of the Np and zt combinations listed in Table 6 for a typical 3 m high vertical pole wall assumed to be loaded by gravity loads including a live load on the assumed level surface behind the wall. The parameters assumed in the analysis are summarised in Table 7.
Table 7. Typical Pole Wall: Analysis Input Parameters
Active pressure from the wall backfill and surface live load were assumed to act only above ground with no load from these pressures transferred to the pole in the cohesive soil foundation. The ground in front of the wall was assumed to be horizontal.
The length of pole embedment was based on the toe yield capacity using the Motta yield equations. Using this approach ensures that deflections are unlikely to exceed acceptable limits; however, it is necessary to consider the overstrength of the foundation up to the ultimate capacity of the soil to design the pole above ground and the composite section pole with concrete encasement below ground.
The total factored load on the wall (pressures from backfill and surcharge) was 42 kN and acted at an eccentricity of 1.08 m above ground level. The analysis procedure was to determine the required total embedment of the pole to achieve the required capacity at the commencement of toe yield (42 kN) and then to calculate the ultimate capacity using the yield embedment length. In all three cases investigated the soil ultimate capacity was approximately a factor of 1.3 greater than the yield capacity. Main results from the wall analysis are summarised in Table 8.
Table 8. Typical Pole Wall: Comparison of Pole Embedment Depths
The below ground bending moment diagram and a flexural capacity curve (ULS) for the encased timber pole using Np = 11 and zt = 0.3 m is shown in Figure 25. The moments shown in dimensionless form in Table 8 and Figure 25 were calculated by dividing the moment by the limiting force per unit length and the square of the total pile length below ground (Md = M/(Pu L2). The capacity curve for the pile is based on a 350 mm diameter timber pole section at ground level increasing linearly to a fully composite pile section at a depth of 600 mm (one diameter of the composite section) below the ground surface. It is assumed that the 50 mm thick concrete surround commences at ground level.
Figure 25. Bending moment and capacity curves for pile (Np = 11, zt = 0.3 m)
Figure 26. Pile top force versus displacement (Np = 11, zt = 0.3 m)
The force versus displacement plot for the example using Np = 11 and zt = 0.3 m is shown in Figure 26. The length, Le (1.7 m) used in the dimensionless factors is the embedment depth below the ineffective top layer of soil. The total eccentricity including the ineffective layer was 1.38 m giving an effective e/Le of 0.81.
6. Displacements in Cohesive and Cohesionless Soils
For most soils including clay and sand, pile head force versus displacement curves are assumed to follow a hyperbolic curve as show in Figure 27 and defined by the equation (Lam and Martin, 1986):
(47)
Where Hu is the ultimate force capacity and uc the displacement at 0.5 of the ultimate force.
Figure 27. Typical pile top force versus displacement for clay.
Comparison of Figures 26 and 27 shows significant differences with the elastic portion being greater in Figure 26 which is based on an elastic-plastic assumption.
6.1 Cohesive Soils
The initial stiffness Ei of the pile force versus displacement curve for a cohesive soil is given by Lam and Martin, 1986 as:
(48)
Displacement uc is given by:
(49)
Where εc is the strain amplitude at one-half the peak deviatoric stress in an undrained compression test. It usually ranges from 0.005 to 0.025. In the absence of laboratory data, a value of 0.01 is suggested by Lam and Martin.
In the example for clay presented in the previous section the limiting force per unit length, Pu is expected to vary over the top half of the pile increasing to a value of 330 kN/m (su Np B) at the toe. Using this value gives an initial elastic modulus, Ei of 22 MPa (uc = 15 mm). For the complete pile length, adopting an equivalent linear value of one-half of the initial stiffness value would appear to be appropriate for predicting the serviceability displacement (at a load of approximately toe yield capacity/1.3). From Figure 27 and making allowance for pile interaction (a reduction to stiffness of approximately 0.8) the pile top ground level displacement at toe yield was estimated as 41 mm. (The rotation depth below ground surface was estimated to be 1.31 m.) Making allowance for the load factor of 1.3 the serviceability limit state (SLS) deflection at the top of the wall was estimated to be 105 mm at a corresponding wall rotation of 1.8o. The wall top SLS displacement is significant but within acceptable limits.
6.2 Cohesionless Soils
The tangent stiffness Et of the pile force versus displacement curve for cohesionless soil is given by Lam and Martin, 1986 as:
(50)
Where Et is the force per unit length per unit deflection and varies linearly with depth z. k1 is a coefficient for sands which varies with relative density or friction angle (FL-3 units). Values of k1 are plotted in Figure 28. The initial tangent values are from Reese et al, 1974 and the secant values from Terzaghi, 1955.
Figure 28. Subgrade modulus values for sand.
The displacement of the typical pole wall example described in Table 1 was calculated using the Guo analysis for Gibson k. A summary of the analysis is given in Table 9.
Table 9. Deflection of 3 m High Wall in Cohesionless Soil
To obtain the displacement at toe-yield the initial tangent stiffness should be reduced by a factor of between 2 and 4. A reduction of 4 gives approximately the Terzaghi secant value (see Figures 27 and 28.) For the present example, a reduction factor of 3 was used.
Making allowance for the load factor of 1.3 the SLS deflection at the top of the wall was estimated to be 45 mm at a corresponding wall rotation of 0.5o. The wall top SLS displacement is clearly within acceptable limits.
7. Ultimate Capacity of Rigid Piles in c-ϕ Soil
Zhang, 2018 presents a solution for the ultimate capacity of a laterally loaded rigid pile in a c-ϕ soil. He expressed the ultimate capacity in dimensionless form by:
(51)
or alternatively:
(52)
Where:

K is the ultimate lateral coefficient for cohesionless soil.
in the Guo analysis.)
Complex expressions are given for zrd (zr/L) the dimensionless rotation centre. For design purposes the depth of the rotation centre can be estimated from Figure 29. This figure shows how the rotation centre varies depending on the kq ratio for the soil between the limiting cases for a purely cohesionless soil with kq = 0 and a purely cohesive soil with kq = a large value (qk = 0).
Figure 29. Dimensionless rotation centre for c-ϕ soil. Evaluated using Zhang, 2018.
Dimensionless ultimate capacities f1 and f2 are plotted as a function of the eccentricity ratio in Figures 30 and 31 respectively. Either of the two figures can be used but Figure 30 is more convenient for a cohesive soil and Figure 31 for cohesionless soils with small su values. These capacities are hyperbolic values based on the assumed ultimate pressure diagram shown in Figure 32. The fϕ and fc components used in the calculation of f1 and f2 are computed using the zr rotation depth calculated from moment equilibrium for the combined cohesionless and cohesive components shown in
Figure 32.
Figure 30. Dimensionless ultimate capacity for c-ϕ soil based on kq ratio
Figure 31. Dimensionless ultimate capacity for c-ϕ soil based on qk ratio.
Figure 32. Assumed LFP for c-ϕ soil analysis. From Zhang, 2018.
To illustrate an application of the c-ϕ theory the analysis of a pile with a 3 m depth of embedment that might be used for a pole wall was carried out. The input parameters are summarised in Table 10. Ultimate forces per unit length for the cohesionless and cohesive soil components were assumed to be those illustrated in Figure 32. No ineffective layer below the ground surface with zero soil resistance was used. Soil strength properties used in the example would be appropriate for highly weathered greywacke rock (Pender, 1977).
Table 10. Input Parameters for Analysis of 3 m Long Pile in c-ϕ Soil
Results of the analysis are summarised in Table 11.
Table 11. Summary of Results from Analysis of 3 m Deep Pile in c-ϕ Soil
The depth of the maximum moment zm is calculated by finding the depth of zero shear in the pile and is given by:
(53)
The maximum moment is given by:
(54)
and in dimensionless form the maximum moment, Mmd is given by:
(55)
The c-ϕ analysis is based on the LFP shown in Figure 32. It could be modified for minor variations such as assuming there was no cohesion in an upper soil layer.
Results using the Zhang LFP assumption and analysis method suggests that a good approximation (slightly conservative) can be obtained by adding the capacities from separate zero cohesion and zero friction analyses. This finding suggests that more complex LFP’s could be analysed using the separate components although the rotation depths will be different for the two cases. (For the above example, the dimensionless rotation depths for separate analyses of the cohesive and cohesionless components were 0.64 and 0.77 respectively – see Figure 29.) Calculating the lateral force capacity at toe yield requires a more detailed analysis to obtain an exact result but reducing the hyperbolic capacity by 20% would give an approximate toe yield capacity. Alternatively, determining the pile head lateral force capacity at toe yield by adding the separate cohesion and cohesionless components at toe yield would be satisfactory for design application.
The example discussed above indicates that a small amount of cohesion can result in a significant increase in the lateral force capacity. The low cohesion of 10 kPa used in the example increased the capacity of the friction only case by approximately 40%. It is customary to neglect small amounts of cohesion in predominantly cohesionless soils because cohesion is less readily assessed and can be variable. However, in foundations in highly weathered rock making a conservative allowance for cohesion is usually considered an acceptable approach. (Pender, 1977 completed laboratory tests to determine friction and cohesion parameters for highly and completely weathered Wellington greywacke. Friction angles for the highly weathered material were in the range of 32o to 38o and the cohesion in the range of 80 to 130 kPa.)
In cohesive soils full consolidation may occur under long-term loading, so calculations in terms of drained shear strength based on both cohesion and friction might be appropriate for this case. (Where live load represents a substantial portion of the load on the wall, static design for cohesive soils should be on a short-term undrained basis.)
8. Effect of Ground Water in Cohesionless Soils
The effective unit weight of the soil should be used when calculating the lateral force capacities of poles in cohesionless soils. If the water table is below the toe of the pole an estimated bulk unit weight should be used for the effective unit weight. If the water table is at the ground surface in front of the wall the soil effective unit weight should be taken as the submerged unit weight. For typical sands and gravels the submerged unit weight will be approximately one-half of the bulk unit weight of the soil above the water table leading to an approximate 50% reduction in the lateral force capacity.
If water is expected in the backfill then it should be included as a pressure on the facing. Pole walls will often have open joints in timber facing and are well drained if good drainage practise is followed so it will seldom be necessary to include a water pressures load against the wall facing.
In higher pole walls the water table level could be located at some height between the ground surface in front of the wall and the toe of the pole. To estimate the lateral force capacity for this intermediate case an analysis was carried out on a 3 m long pole with an 0.6 m embedded diameter located in a cohesionless soil with bulk unit weight of 18 kN/m3 (buoyant unit weight of 8.2 kN/m3) and friction angle of 35o. The hyperbolic lateral force capacity was calculated assuming a Guo Ar factor of γ ’ Kp2. At the hyperbolic ultimate capacity, the LFP reaches both negative and positive soil yield at the rotation point. This profile enables a simple analysis to be undertaken whereas the analysis becomes more complex for the case when yield initially commences at the pole toe (recommended capacity for design). The LFP at the hyperbolic ultimate capacity for the assumed pole and soil properties for the water table located at a depth of 0.6L is shown in Figure 33.
Figure 33. LFP for calculation of hyperbolic capacity using Guo Ar.
The ultimate hyperbolic capacity plotted as a function of the water table depth, zw below ground level for the 3 m long pole with eccentricity ratios e/L = 0, 0.2 and 0.5 is shown in Figure 34. Depths and capacities are plotted in dimensionless form to enable the results to be used for other geometries and soil properties than used in this particular example. (In the dimensionless force divisor, γ ’ is the bulk unit weight.) The capacity ratio obtained by dividing the capacity at each particular water table depth by the capacity for the case with the water table at the pole toe or deeper is shown in Figure 35. As indicated in the figure the capacity ratio is insensitive to the e/L ratio. For depths of water greater than zw /L of 0.7 the capacity is less than 5% below the case with water at the toe level or deeper. Thus, in practical design, when the water table depth is close to the pole toe depth the water table capacity reduction can be ignored.
Although the above analysis is for the hyperbolic capacity the influence of the water table depth on the Guo toe yield capacity is expected to be similar.
The influence of the water table depth on the rotation point depth is shown in Figure 36. Although the rotation depth zr is sensitive to the e/L ratio, for a particular ratio the rotation depth varies by less than 5% from the case with water at the surface or below the toe.
Figure 34. Hyperbolic capacity versus water table depth.
Figure 35. Hyperbolic capacity ratio versus water table depth.
Figure 36. Rotation point depth versus water table depth.
9. Composite Action
Cantilever timber pole retaining walls are usually constructed by drilling an oversize hole, installing the poles, and then backfilling the annulus between the pole and the soil with unreinforced concrete. In low to moderate height retaining walls the maximum bending moments in the poles occur at depths of between 0.5 to 1.5 m below ground level. The maximum moments in the embedded section are typically 1.5 times greater than the bending moments at ground level and the question arises as to whether the composite action between the timber pole and concrete encasement is effective in providing a strength increase to offset this increase. The maximum practical height that can retained using cantilever timber pole walls is increased if the timber section can be designed for the bending moment at ground level or at least for a moment intermediate between the maximum and ground level moments.
The strength of the adhesion or bond between the timber pole and concrete is a key issue in deciding whether composite action is effective. Unfortunately, this is an area where there is little published information. Observations of concrete encased timber poles removed from the ground indicate that the adhesion is generally good with the concrete surround usually intact and the concrete difficult to remove from the timber.
The adhesion might be reduced by differential shrinkage between the pole and concrete. However, the concrete effectively seals the timber at depths greater that about 300 mm below the surface so that timber shrinkage is likely to be small or at least less than the shrinkage of the concrete. Shrinkage of the concrete will depend on the moisture in the soil. In dry soil conditions concrete shrinkage will be significant. Generally, the soil will reduce the rate of shrinkage and in ideal conditions the rate of increase in the tensile strength of the concrete may be sufficient to prevent radial cracking caused by circumferential shrinkage. Even if radial cracking occurs is unlikely to be extensive at depths below the surface greater than a few hundred millimetres. In addition, moderate radial cracking is unlikely to result in a significant reduction to the adhesion between the concrete and timber.
At the point of maximum moment in the embedded pole section the shear force on the section is zero. Therefore, in the vicinity of the maximum moment the adhesion bond does not need to be large to resist the interface shearing action.
9.1 Composite Section Analysis
In the present project the enhanced strength of timber pole sections acting compositely with concrete surround was estimated based on the overriding assumptions that the concrete acts in compression but provides no resistance in tension, there is no slippage on the concrete/timber interface and plane sections remain plane. The analysis can be simplified by adopting one or other of the following assumptions.
- The concrete in compression is linearly elastic (stress proportional to strain).
- The concrete is non-linear and becomes stressed to a uniform level given by the Whitney Stress Block assumption used in the ultimate strength calculations for reinforced concrete sections.
Trial analyses indicated that assumption (a) was more correct for typical encased pole sections than the second assumption. The strain was more critical in the timber with tensile failure in the outer fibres at a maximum concrete compression strain of about 0.0015. (The usual non-linear failure assumption for concrete is a strain of 0.003). The first assumption was adopted for the results presented below with checks made using the second assumption.
The main dimension and strength parameters used in the analysis are summarised in Table 12.
Table 12. Composite Action Analysis Parameters
The analysis procedure was to vary the location of the neutral axis by trial and error to give zero net force on the section. The moment capacity was then calculated by taking the moments of the timber compression and tension force plus the moment of the concrete compression force about the neutral axis. The total moment from these forces was reduced by a strength reduction factor to be consistent with the reduction made for a timber pole acting alone. The reduced composite flexural strength was then compared with the flexural strength of the timber pole acting without the concrete to give a moment enhancement ratio for the composite section.
A summary of the main numerical results for a 300 mm diameter pole is given in Table 13.
Table 13. Composite Action Analysis Example
A summary of the moment capacity ratio results for the range of pole diameters considered is shown in Figure 38.
Figure 37. Section analysis for 300 mm diameter pole. NA distance from centre = 42 mm (Concrete modulus reduction factor = 0.5)
Figure 38. Moment capacity ratio: composite pole / timber pole
The results show that the flexural strength enhancement from the concrete is significant and is likely to increase the basic strength of the timber section acting alone by at least a factor of 1.5. Provided there is good adhesion between the concrete and timber and good quality control to ensure that the assumed thickness of concrete is achieved it seems reasonable to make use of this enhancement in the design of retaining walls. The neglect of concrete in tension and the use of a concrete modulus reduction factor of 0.5 are conservative assumptions so the actual composite strength is likely to be greater than shown by the present results.
Composite section design should be based on the moment calculated at one pole diameter, including the casing, below ground level to make allowance for the composite section to fully develop. In the example in the previous section the maximum bending moment occurred at a depth of approximately 1.2 m below ground surface and was a factor of 1.34 greater than the moment at a depth of 0.6 m (one pole diameter) below ground.
10. Conclusions
- Commonly used design analysis methods for cantilever poles walls have limitations and do not accurately represent the pole-soil interaction and displacement behaviour. In particular, the Broms method for estimating the pole lateral force capacity in cohesionless soils assumes rotation of the pole about the toe instead of the correct depth at a significant height above the toe. This simplification gives an unconservative lateral load capacity. Simplifying the analysis by assuming that the poles behave as a continuous wall is unnecessary and may introduce errors that are difficult to quantify. Although soil strength parameters are unlikely to be accurately known for design of small wall structures it is nevertheless desirable to eliminate analysis errors as far as possible and deal with the soil uncertainty by adopting moderately conservative soil strength parameters.
- The pole foundation soil-interaction design should be based on pile theory that has been verified by testing. Pile design methods suitable for cantilever wall design have been presented by Guo, 2008 for cohesionless soils and Motta, 2013 for cohesive soils. Both these methods are based on elastic-plastic analysis and give force versus displacement equations for loading from zero up to the ultimate hyperbolic loads. These allow serviceability displacements and the pile top lateral force capacity based on soil yield at the toe to be determined.
- Zhang, 2018 has presented an analysis procedure for a soil with both friction and cohesion properties. Although this method is presented for a particular LFP that may not apply in all design applications, typical pole capacity calculations showed that the addition of results from separate analyses for the friction and cohesion components gave an acceptable prediction of the total load capacity. The Zhang method is applicable to the analysis of poles in highly weathered rock materials which have both friction and significant cohesion properties.
- The Goa, Motta and Zhang pile load capacity analyses are based on isolated pile theory but there is sufficient load testing and other theoretical analyses that give satisfactory capacity reduction factors to allow for the interaction of the soil pressures for piles in groups, or in the case of a wall, for piles in a single row of multiple piles.
- Although the empirical equations of Goa, Motta, and Zhang are more complex than the simple Broms equation for cohesionless soils they are not difficult to set up on a spread sheet. Design charts are presented in this paper that enable the equations to be evaluated at sufficient accuracy for most design applications in both types of soils and for the mixed friction and cohesion case.
- Limiting force profiles in cohesionless soils are a function of the effective vertical stress which is difficult to evaluate in the vicinity of the wall face. Plots of the variation with distance from the face are presented accompanied by recommendations on a correction factor simplification that is satisfactory for design applications.
- The strength enhancement of the concrete encasement used on timber poles embedded in the ground should be considered in design. Information is presented in the paper that allows the encasement strengthening effect to be predicted with sufficient accuracy for wall design.
11. References
- Adams J I, and Radhakrishna H S. 1973. The Lateral Capacity of Deep Augured Footings”, Proc. 8th Int. Conf. Soil Mech. Found. Eng., Moscow, USSR.
- Agaiby S W, Kulhawy F H and Trautmann C H. 1992. Experimental Study of Drained Lateral and Moment Behavior of Drilled Shafts Using Static and Cyclic Loading. Electric Power Research Institute. EPRI Report TR-100223, Palo Alto, Calif.
- Aguilar V, Stallings J M, Anderson J B, and Nowak A J. 2019. Simplified Method for Laterally Loaded Short Piles in Cohesionless Soil. Transport Research Record Vol267(3) pp 605-616.
- American Petroleum Institute (API). 1977. Recommended Practice for Planning, Designing and Constructing Fixed Offshore Platforms. API Recommended Practice 2A (RP2A), 9th ed., Washington, D.C.
- American Petroleum Institute (API). 1991. Recommended Practice for Planning, Designing and Constructing Fixed Offshore Platforms. API Recommended Practice 2A (RP2A), 19th ed., Washington, D.C.
- Anderson J B. 1997. A Laterally Loaded Pile Database. University of Florida.
- Ashour M, Norris G, and Pilling P. 1998. Lateral Loading of a Pile in Layered Soil Using the Strain Wedge Model. J. of Geotech. and Geoenviron. Eng., ASCE, 124(4), pp-303-315.
- Baguelin F, Goulet G, and Jezequel J. 1973. Experimental Study of Behavior of Laterally Loaded Pile, Proceedings. 5th European Conf. on Soil Mech. and Found. Eng. (1), Madrid, pp 317-324.
- Barton Y. 1982. Laterally Loaded Model Piles in Sand: Centrifuge Tests and Finite Element Analyses. PhD Thesis. University of Cambridge, Cambridge, UK.
- Bhushan K, Lee L J, and Grime D B. 1981. Lateral Load Tests on Drilled Piers in Sand, Drilled Piers and Caissons, Proc. of a session sponsored by the Geotech. Eng. Div. and the ASCE National Convention, St. Louis, Missouri, pp 114-131.
- Bierschwale M W, Coyle H M, and Bartoskewitz R E. 1981. Lateral Load Tests on Drilled Shafts Founded in Clay, Drilled Piers and Caissons. Ed. MW O’Neill, ASCE, New York, pp. 98-113.
- Briaud J-L, and Smith T D. 1983. Using the Pressuremeter Curve to Design Laterally Loaded Piles. Proc., 15th Offshore Technology Conf., Houston, Paper 4501, pp 495–502.
- Brinch Hansen J. 1961. The Ultimate Resistance of Rigid piles against Transversal Forces. The Danish Geotechnical Institute, Copenhagen, Denmark, Bulletin No.12, pp 5-9.
- Broms B. 1964a. The Lateral Response of Piles in Cohesionless Soils. J. of Soil Mech. and Found. Eng. Div., ASCE, 90 (3), pp 123-156.
- Broms B. 1964b. Lateral Resistance of Piles in Cohesive Soils. J. of the Soil Mech. and Found. Div., ASCE, Vol. 90 (2), pp 27–64.
- Carter J P, and Kulhawy F H. 1992. Analysis of Laterally Loaded Shafts in Rock. J. Geotech. Eng., ASCE, Vol 118 (6) pp.839-855.
- Chari T R, and Meyerhof G. 1983. Ultimate Capacity of Rigid Single Piles under Inclined Loads in Sand. Canadian Geotech. J., Vol. 20 (4), pp 849–854.
- Chen S L, and Chen L Z. 2008. Note on Interaction Factor for Two Laterally Loaded Piles. J. of Geotech. and Geoenviron. Eng., ASCE, 134(11), pp 1685-1690.
- Chen Y-J, and Kulhawy F H. 1994. Case History Evaluation of the Behaviour of Drilled Shafts Under Axial and Lateral Loading. Prepared by Cornell University for Electric Power Research Institute. EPRI TR-104601, Research Project 1493-04. Palo Alto, Calif.
- Chen Y-J, Lin S W, and Kulhawy F H. 2011. Evaluation of Lateral Interpretation Criteria for Rigid Drilled Shafts”, Can. Geotech J., 48(5), pp 634-643.
- Davis T G, and Budhu M. 1986. Nonlinear Analysis of Laterally Loaded Piles in Heavily Overconsolidated Clays. Geotechnique Vol 35 ( 6), pp 527-538.
- Dickin E A, and Nazir R B. 1999. Moment-carrying Capacity of Short pile Foundations in Cohesionless soil. J. of Geotech. and Geoenviron. Eng., ASCE, 125(1), pp 1-10.
- Dunnavant T W, and O’Neill M W. 1985. Performance, Analysis, and Interpretation of Lateral Load Test of 72-Inch-Diameter Bored Pile in Overconsolidated Clay, Report UHCE 85-4. Univ. of Houston, Houston, 49 p.
- Fleming W G K, Weltman A J, Randolph M F, and Elson W K. 2009. Piling Eng., Taylor and Francis, London, UK.
- Georgiadis K, and Georgiadis M. 2012. Development of p–y Curves for Undrained Response of Piles Near Slopes. Comput. Geotech., Vol 40, pp 53–61.
- Georgiadis K, Sloan S W Lyamin A V. 2013. Undrained Limiting Lateral Soil Pressure on a Row of Piles. Comput. and Geotech., Vol 54, pp 175-184.
- Georgiadis M, Anagnostopoulos C, and Saflekou S. 1992. Centrifuge Testing of Laterally Loaded Piles in Sand”, Can. Geotech. J., 29(2), pp 208-216.
- Guo W D, and Lee F H. 2001. Load Transfer Approach for Laterally Loaded Piles. International J. for Numerical and Analytical Methods in Geomechanics 25(11), pp1101-1129.
- Guo W D. 2008. Laterally Loaded Rigid Piles in Cohesionless Soil. Canadian Geotechnical J., 45(5), pp 676-697.
- Harris M C, Papanicolas D, and Rogers W G. 1985. Behavior of Test Piles Subjected to Lateral Loading, Proceedings. 38th Canadian Geotech. Conf., Edmonton, pp 399-406.
- Ilyas T, Leung C F, Chow Y K, and Budi S. 2004. Centrifuge Model Study of Laterally Loaded Pile Groups in Clay. J. of Geotech. and Geoenviron. Eng., ASCE 130 (3) pp 1090-024.
- Ismael N F, and Klym T W. 1978. Behavior of Rigid Piers in Layered Cohesive Soils. J. Geotech. Eng. Div., ASCE, 104(8), pp 1061–1074.
- Ivey D L, Koch K J and Raba C F. 1968. Resistance of a Drilled Shaft Footing to Overturning Loads, Model Tests and Correlation with Theory. Research Report 105-2, Texas Transportation Institute, Texas A & M University, College Station. 20p.
- Jeanjean P. 2009. Re-assessment of p–y Curves for Soft Clay from Centrifuge and Finite Element Modelling. Proceedings of 41st Offshore Technology Conference. Houston, p. 2081–2103 [OTC 20158].
- Joo J S. 1985. Behaviour of Large-Scale Rigid Model Piles under Inclined Loads in Sand. Memorial University of Newfoundland.
- Kasch V R, Coyle H M, Bartoskewitz R E, and Server W G. 1977. Design of Drilled Shafts to Support Precast Panel Retaining Walls. Research Rep. No. 211-1, Texas Transportation Institute, Texas A&M Univ., College Station, Texas.
- Kulhawy F H. 1991. Drilled Shaft Foundations. Foundation Eng. Handbook., 2nd Ed., Chap. 14, H-Y Fang ed., Van Nostrand Reinhold, New York.
- Kulhawy F H, Trautmann C H, Beech J F, O’Rourke T D, McGuire W, Wood W A, and Capano C. 1983. Transmission Line Structure Foundations for Uplift-compression Loading.” Rep. No. EL-2870, Electric Power Research Institute, Palo Alto, Calif.
- Lam I P, and Martin G R. 1986. Seismic Design of Highway Bridge Foundations. Report No. FHWA/RD-86/102. Vol II, Design Procedures and Guidelines. Department of Transportation, Federal Highway Administration, Virginia, USA.
- Laman M, King G J W, and Dickin E A. 1999. Three-dimensional Finite Element Studies of the Moment-carrying Capacity of Short Pier Foundations in Cohesionless Soil. Comp. and Geotech., Vol 25(3), pp 141-155.
- Lin H, Ni L, Suleiman M T, and Raich A. 2015. Interaction Between Laterally Loaded Pile and Surrounding Soil. J. Geotech. Geoenviron. Eng., ASCE, 141(4) 04014119-1 04014119-11.
- Martin C M, and Randolph M F. 2006. Upper-bound Analysis of Lateral Pile Capacity in Cohesive Soil. Geotechnique 56(2), pp 141–5.
- Matlock H. 1970. Correlations for Design of Laterally Loaded Piles in Soft Clay. Proceedings of the 2nd Offshore Technology Conference. Houston, pp 577–94 [OTC 1204].
- Matlock H, and Reese L C. 1960. Generalized Solutions for Laterally Loaded Piles. J. Soil Mech. and Found. Div., 86(5), pp 63–91.
- Mayne P W, Kulhawy F H, and Trautmann C H. 1995. Laboratory Modeling of Laterally Loaded Drilled Shafts in Clay. J. of Geotech and Geoenviron. Eng., ASCE, 121(12), pp 827-835.
- MBIE-NZGS. 2017. Earthquake-resistant Retaining Wall Design: Module 6. New Zealand Ministry of Business Innovation and Employment and New Zealand Geotechnical Society.
- McClelland B, and Focht J A. 1958. Soil Modulus for Laterally Loaded Piles. Trans. of ASCE, Vol. 123(1), pp. 1049–1063.
- McPherson A R, and Bird G D. 2020. Simplified Structural Design Guide Timber Pole Retaining Walls. Published by Structural Eng. Society New Zealand. Draft document dated 20 August 2020.
- McVay M, Casper R, and Shang T. 1995. Lateral Response of Three-row Groups in Loose to Dense Sands at 3D and 5D Pile Spacing. J. of Geotech. Eng., ASCE Vol. 121(5), pp 436-441.
- Meyerhof G, and Sastry V. 1985. Bearing Capacity of Rigid Piles Under Eccentric and Inclined Loads. Canadian Geotech. J., Vol. 22(3), pp 267–276.
- Meyerhof G, Mathur S K, and Valsangkar A J. 1981. Lateral Resistance and Deflection of Rigid Walls and Piles in Layered Soils. Can. Geotech. J., Vol 18, pp 159-170.
- Mokwa R L, and Duncan J M. 2005. Discussion of “Centrifuge Model Study of Laterally Loaded Pile Groups in Clay” by T Ilyas, C F Leung, Y K Chow, and S Budi. J. of Geotech and Geoenviron. Eng., ASCE 131 (10) pp 1305-1308.
- Mokwa R L, and Duncan J M. 1999. Investigation of the Resistance of Pile Caps to Lateral Loading. Report of Research Performed under Sponsorship of the VA Transportation Research Council, Charlottesville, Vagina, USA, VTRC 99-CR.
- Mokwa R L, and Duncan J M. 2001. Laterally Loaded Pile Group Effects and P-Y Multipliers. ASCE Geotechnical Special Publication (GSP No. 113.), Foundations and Ground Improvement, ASCE, Reston, Vagina, USA, pp 728–742.
- Motta E. 2013. Lateral Deflection of Horizontally Loaded Rigid Piles in Elastoplastic Medium. J. Geotech. Geoenviron. Eng., ASCE, Vol 139(3), pp 501–506.
- Moussa A and Christou P. 2018. The Evolution of Analysis Methods for Laterally Loaded Piles Through Time. Advances in Analysis and Design of Deep Foundations, Sustainable Civil Infrastructures. Abu-Farsakh M et al eds. Springer International Publishing AG, pp 65-94.
- Murchison J M, and O’Neill M W. 1984. Evaluation of p-y Relationships in Cohesionless Soils. Analysis and Design of Pile Foundations. ASCE, J.R. Meyer, ed. National Convention, San Francisco, pp 174-191.
- Murff J D, and Hamilton J M. 1993. P-Ultimate for Undrained Analysis of Laterally Loaded Piles. J. Geotech. Eng., ASCE, Vol 119(1), pp91–107.
- NAVFAC DM7: 2011. Soil Mechanics, Foundations and Earth Structures: NAVFAC DM 7. Naval Facilities Eng. Command. USA.
- Norris G. 1986. Theoretically Based BEF Laterally Loaded Pile Analysis. Proceedings 3rd International Conference on Numerical Methods in Offshore Piling, pp. 361–386.
- NZS 3603: 1993 (and Amendments). Timber Structures Standard. Standards New Zealand.
- Pender M J. 1977. Friction and Cohesion Parameters for Highly and Completely Weathered Wellington Greywacke. Report 2-77/7, Central Laboratories, Ministry of Works and Development, 32 p.
- Pender M J. 1993. Aseismic Pile Foundation Design Analysis. Bulletin of the NZ Society for Earthquake Eng., Vol 26(1), pp 49-161.
- Pender M J. 1997. Ultimate Lateral Capacity of Piles Embedded in Soil. J. of New Zealand Structural Eng. Society. Vol 10(2), pp 53-60.
- Pender M J. 2000. Ultimate Limit State Design of Foundations. NZ Geotechnical Society Short Course. University of Auckland.
- Petrasovits G, and Awad A. 1972. Ultimate Lateral Resistance of a Rigid Pile in Cohesionless Soil. Proceedings 5th European Conference on Soil Mech. and Found. Eng., Madrid, Vol.3, pp 407-412.
- Pham Q N, Ohtsuka S, Isobe K, and Fukumoto Y. 2019. Group Effect on Ultimate Lateral Resistance of Piles Against Uniform Ground Movement. Soils and Foundations, Vol 59, pp 27-40.
- Poulos H G, and Davis E H. 1980. Pile Foundation Analysis and Design, John Wiley and Sons, New York.
- Prasad Y V S N, and Chari T R. 1999. Lateral capacity of Model Rigid Piles in Cohesionless Soils. Soils and Foundations, Vol 39(2), pp 21-29.
- Qin H Y, and Guo W D. 2014. Nonlinear Response of Laterally Loaded Rigid Piles in Sand. Geomech. and Eng., Vol 7(6), pp 679-703.
- Randolph M F, and Houlsby G T. 1984. The Limiting Pressure on a Circular Pile Loaded Laterally in Cohesive Soil. Geotechnique, Vol 34(4), pp 613–23.
- Reece L C. 1958. Discussion of Soil Modulus for Laterally Loaded Piles. Trans., ASCE 123, pp 1071 – 1074.
- Reese L C, and Welch R C. 1975. Lateral Loading of Deep foundations in Stiff clay. J. Geotech. Eng. Div., ASCE, Vol 101(7), pp 633–49.
- Reese L C. 1977. Laterally Loaded Piles: Program Documentation. Proceedings, ASCE, Vol. 103(GT4), pp. 287-305.
- Reese L C, Cox W R, and Koop F D. 1974. Analysis of Laterally Loaded Piles in Sand. In Offshore Technology in Civil Eng. Hall of Fame Papers from the Early Years, pp. 95–105.
- Rollins K, Olsen R, Egbert J, Olsen K, Jensen D, and Garrett B. 2003. Response, Analysis and Design of Pile Groups Subjected to Static and Dynamic Lateral Loads. Civil & Environmental Eng. Department Brigham Young University. Report prepared for Research Division of Utah Department of Transportation.
- Rollins K M, Olsen K G, Jensen D H, Garrett B H, Olsen R J, and Egbert J. 2006. Pile Spacing Effects on Lateral Pile Group Behavior: Analysis. J. Geotech. Geoenviron. Eng., ASCE, Vol 132(10), pp 1272–83.
- Rollins KM, Peterson K T, Weaver T J. 1998. Lateral Load Behavior of Full-scale Pile Group in Clay. J. Geotech. Geoenviron. Eng., ASCE, Vol 124(6), pp 468–78.
- Scott R F. 1981. Foundation Analysis. Prentice Hall, Englewood Cliffs, New Jersey.
- Stevens J B, and Audibert J M E. 1980. Re-examination of p–y Curve Formulation. Proceedings 11th Offshore Technology Conference. Houston, p.397–03 [OTC 3402].
- Terzaghi K V. 1955. Evaluation of Coefficient of Subgrade Reaction. Geotechnique, Vol 5, pp 295-326.
- Thiyyakkandi S, McVay M, Lai P, and Herrera R. 2016. Full-Scale Coupled Torsion and Lateral Response of Mast Arm Drilled Shaft Foundations. Canadian Geotech. J., Vol. 53(12), pp 1928–1938. https: //doi.org/10.1139/cgj-2016-0241.
- Trochanis A M, Bielak J, and Christiano P. 1991. Three-dimensional Nonlinear Study of Piles. J. Geotech. Eng., ASCE, Vol 117(3), pp 429–447.
- Yang Z, and Jeremi B. 2002. Numerical Analysis of Pile Behaviour Under Lateral Loads in Layered Elastic–plastic Soils. Int. J. Numer. Anal. Methods Geomech. Vol 26(14), pp 1385–1406.
- Yang Z, and Jeremi B. 2005. Study of Soil Layering Effects on Lateral Loading Behavior of Piles. J. Geotech. Geoenviron. Eng., ASCE, Vol 131(6), pp 762–770.
- Zhang W. 2018. Ultimate Lateral Capacity of Rigid Pile in c-f Soil. China Ocean Eng., Vol. 32(1), pp 41–50.
- Zhang L. 2009. Nonlinear Analysis of Laterally Loaded Rigid Piles in Cohesionless Soil. Comput. Geotech., Vol 36(5), pp 718-724.
- Zhang L, Silva F, and Grismala R. 2005. Ultimate Lateral Resistance to Piles in Cohesionless Soils. J. Geotech. Geoenviron. Eng., ASCE, Vol 131(1), pp 78-83.
Appendix – Symbol Notation
- a Depth of plastic soil below ground level for cohesive soil
- Ar z Pressure on the pile surface at depth z in cohesionless soil (FL-2 units): for Guo, Ar = γ ’ Kp2
- B Pile outside diameter of embedded length in ground
- c Soil cohesion
- e Height of applied load above ground surface (eccentricity)
- ed Dimensionless eccentricity (or eccentricity ratio) = e/L
- (EI)p Pile bending rigidity
- Ei Initial stiffness of pile versus displacement curve for cohesive soil (FL-2 units, Lam and Martin)
- Ep Effective Young’s modulus for pile = (EI)P/(πr0 4/4)
- Es Young’s modulus for soil
- Et Tangent stiffness of force versus displacement curve for cohesionless soil (FL-2 units, Lam and Martin)
- f1 Dimensionless ultimate capacity of pile in c-ϕ soil = Hu /(quLo)
- f2 Dimensionless ultimate capacity of pile in c-ϕ soil = Hu /(kLo2)
- Fb Mayerhof lateral resistance factor for weight = 1.25
- fc Dimensionless ultimate capacity of pile in cohesive soil = Hu /(quLo)
- fϕ Dimensionless ultimate capacity of pile in cohesionless soil = Hu /(kLo2)
- Gs Shear modulus for soil
- H Lateral load applied at pile head
- Hu Ultimate lateral load applied at pile head
- Hud Dimensionless ultimate lateral load: for cohesionless soil = Hu /(K γ ’ BL2): for cohesive soil= Hu/(su BNp L)
- Hy Lateral pile head load at yield of pile toe soil
- Hyd Dimensionless pile toe yield load: for cohesionless soil = Hy /( K γ ’ BL2): for cohesive soil = Hy /( PuL)
- K Ultimate lateral resistance coefficient: for Guo analysis = Kp2
- k Limiting resistance factor for cohesionless soil = Kγ ’ B
- k1 Soil modulus coefficient for cohesionless soil: function of soil density (FL-3 units, Lam and Martin)
- Ka Rankine active pressure coefficient
- Kc Brinch Hanson earth pressure coefficient for cohesion
- kc Soil modulus for Constant modulus with depth (FL-3 units)
- ko Soil modulus for Gibson modulus (linear increase with depth, FL-4 units)
- Ko Soil at rest pressure coefficient
- Kp Rankine passive pressure coefficient
- Kq Brinch Hanson earth pressure coefficient for overburden pressure
- kq Friction/cohesion ratio used for c-ϕ soil = kLo /qu
- Kr Ratio of horizontal to vertical effective stress
- L Pile length below ground level
- Le Effective pile length below ground level = L – zt
- Lo Depth from top to toe of pile = L + e
- M Bending moment in pile
- Md Dimensionless bending moment in pile: for cohesionless soil = M/(kL3): for cohesive soil = M/(Pu L2)
- Mm Maximum bending moment in pile
- Mmd Maximum dimensionless bending moment in pile: for cohesionless soil = Mm /(kL3): for cohesive soil = Mm /(PuL2)
- nh Soil subgrade reaction modulus (FL-3 units)
- Np Pile lateral bearing capacity factor in cohesive soil
- P Soil resistance per unit length acting on the pile (FL-1 units, within elastic range)
- pm Maximum soil pressure on pile
- Pm Maximum soil resistance force per unit length at pile toe
- pu Limiting soil pressure on pile (FL-2 units)
- Pu Limiting soil resistance per unit length of pile: for cohesive soil = su BNp: for cohesionless soil = Kγ ’Bz (FL-1 units)
- qk Cohesion/friction ratio used for c-ϕ soil = qu /(kLo)
- qu Limiting force per unit length for cohesive component in c-ϕ soil = su BNp
- r Eccentricity parameter = L/(e+L)
- R Pile length ratio = Lo /L
- rb Meyerhof reduction factor for moment = 1/(1+1.4e/L)
- ro Outer radius of pile
- S Pile centreline horizontal spacing
- sbu Meyerhof pile shape factor
- Sp Pile spacing reduction factor
- su Soil undrained shear strength
- u Pile lateral displacement
- u* Pile threshold displacement at local soil yield
- uc Displacement of pile at ground level for 0.5 of Hu
- uo Pile displacement at ground level
- uy Pile ground level displacement at yield of soil at pile toe
- uyd Dimensionless uy: for cohesive soil = uy /u* = uy Es /Pu
- x Height of elastic soil above rotation centre for cohesive soil
- z Depth below ground level
- zm Depth of maximum moment
- zo Guo slip depth in cohesionless soil (soil at yield stress from surface to this depth)
- zr Pile rotation depth below ground surface
- zrd Pile dimensionless rotation depth = zr /L
- zt Depth of soil from surface with zero resistance (cohesive soil)
- ztd Dimensionless zt = zt /L
- zw Depth of water table below ground level
- α Pile soil adhesion factor
- δ Interface friction between pile and soil
- εc Strain amplitude at one-half the peak deviatoric stress in an undrained compression test
- ϕ Soil friction angle
- Φϕ Strength reduction for cohesionless resistance
- Φc Strength reduction for soil shear strength
- γ’ Soil effective unit weight
- η , ξ Pile shape functions = 0.8 and 1.0 respectively for circular pile
- σvo vertical overburden stress
- τu Ultimate shear stress on pile surface
- ω Pile rotation angle
































































